Curiosii for ever!
: Car repair manuals for everyone.
Home
>>
Saturn Truck
>>
2005
>>
VUE AWD L4-2.2L VIN D
>>
Repair and Diagnosis
>>
Specifications
>>
Pressure, Vacuum and Temperature Specifications
>>
Continuously Variable Transmission/Transaxle, CVT
>>
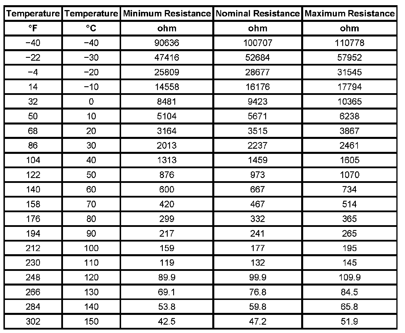
Transmission Temperature Sensor/Switch, CVT
Transmission Temperature Sensor/Switch, CVT