Curiosii for ever!
: Car repair manuals for everyone.
Home
>>
Saturn Truck
>>
2005
>>
VUE AWD L4-2.2L VIN D
>>
Repair and Diagnosis
>>
Specifications
>>
Mechanical Specifications
>>
Automatic Transmission/Transaxle
>>
System Specifications
>>
4T40-E/4T45-E Automatic Transaxle
>>
Overhaul (Unit Repair)
>>
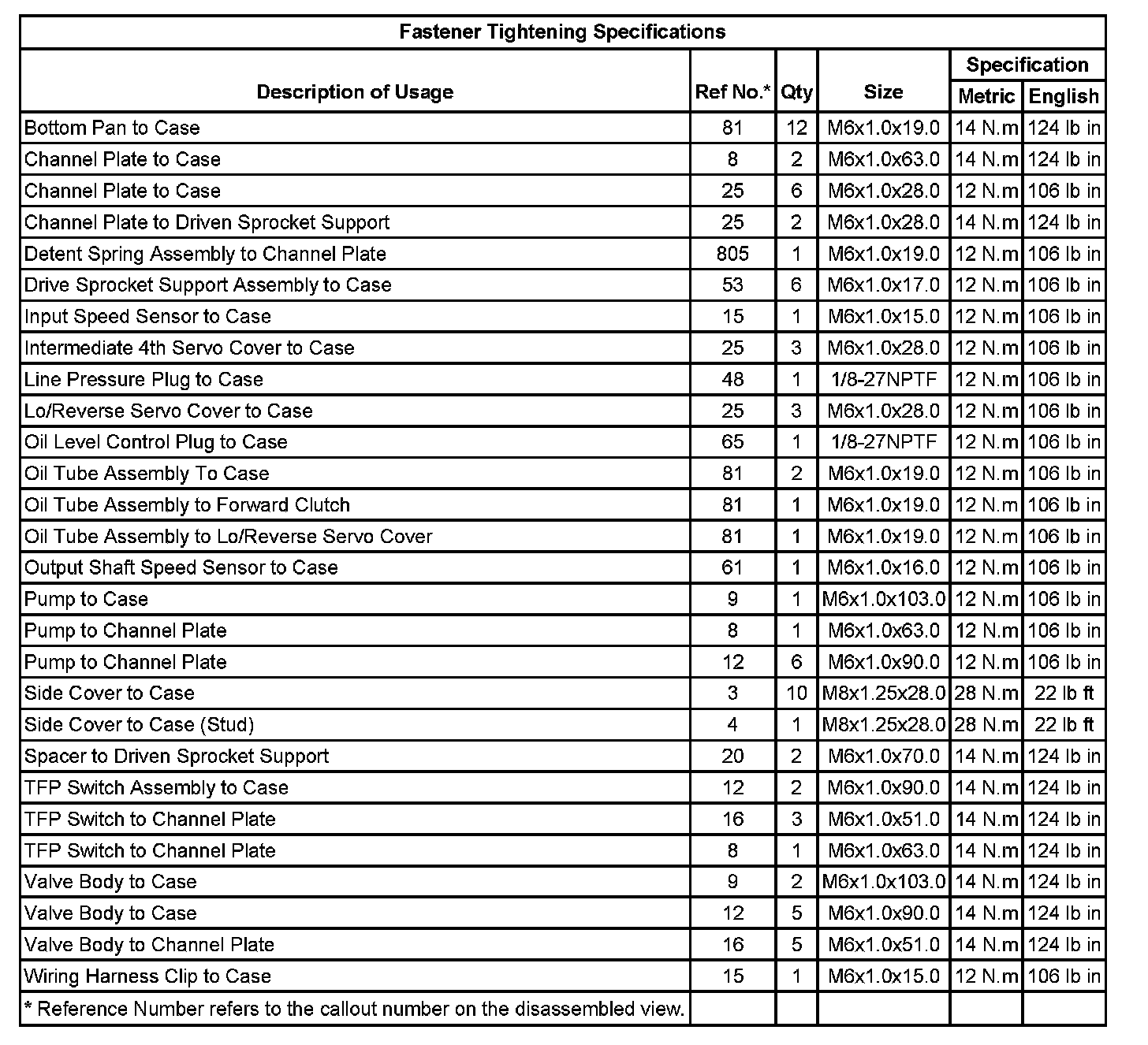
Fastener Tightening Specifications
Fastener Tightening Specifications
Fastener Tightening Specifications: