Curiosii for ever!
: Car repair manuals for everyone.
Home
>>
Saturn Truck
>>
2005
>>
RELAY AWD V6-3.5L VIN 8
>>
Repair and Diagnosis
>>
Specifications
>>
Mechanical Specifications
>>
Automatic Transmission/Transaxle
>>
System Specifications
>>
On-Vehicle
>>
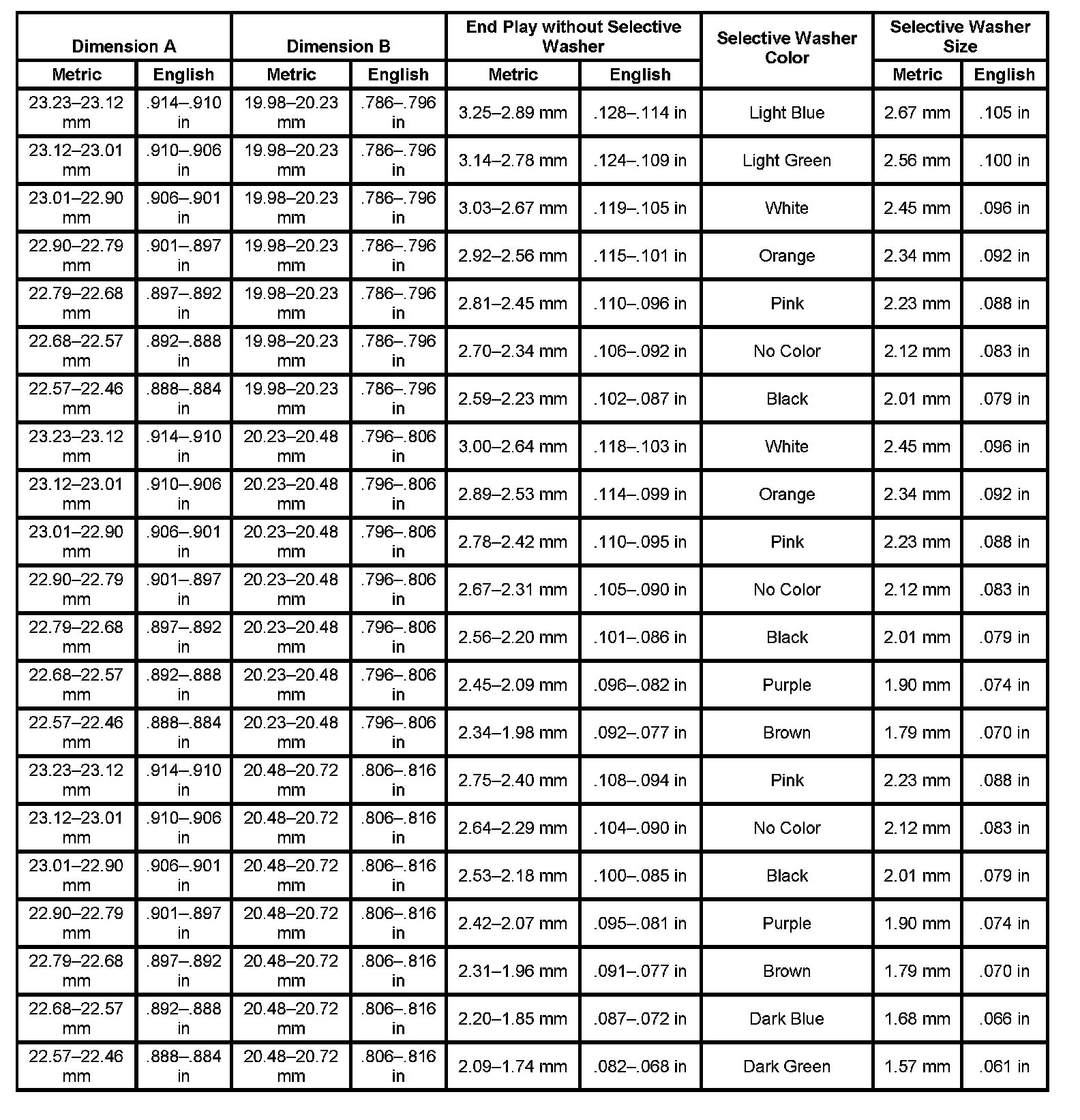
Transfer Case Selective Washer Specifications
Transfer Case Selective Washer Specifications