Curiosii for ever!
: Car repair manuals for everyone.
Home
>>
Saturn Truck
>>
2003
>>
VUE L4-2.2L VIN D
>>
Repair and Diagnosis
>>
Testing and Inspection
>>
Programming and Relearning
>>
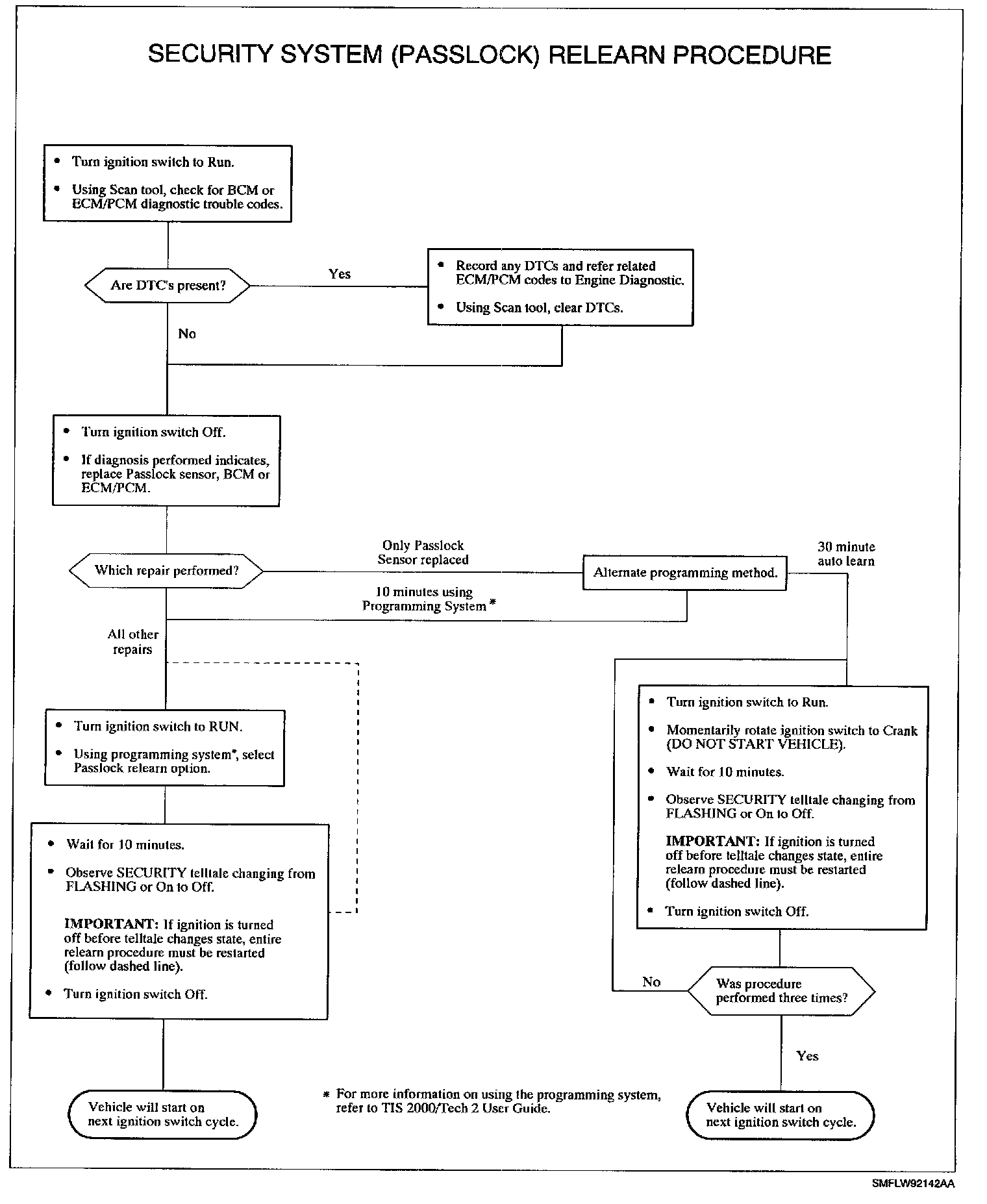
PASSLOCK - Relearn Procedure
PASSLOCK - Relearn Procedure
Diagnostic Chart: