Curiosii for ever!
: Car repair manuals for everyone.
Home
>>
Saturn Truck
>>
2002
>>
VUE L4-2.2L VIN D
>>
Repair and Diagnosis
>>
Powertrain Management
>>
Computers and Control Systems
>>
Relays and Modules - Computers and Control Systems
>>
Engine Control Module
>>
Diagrams
>>
Diagnostic Aids
>>
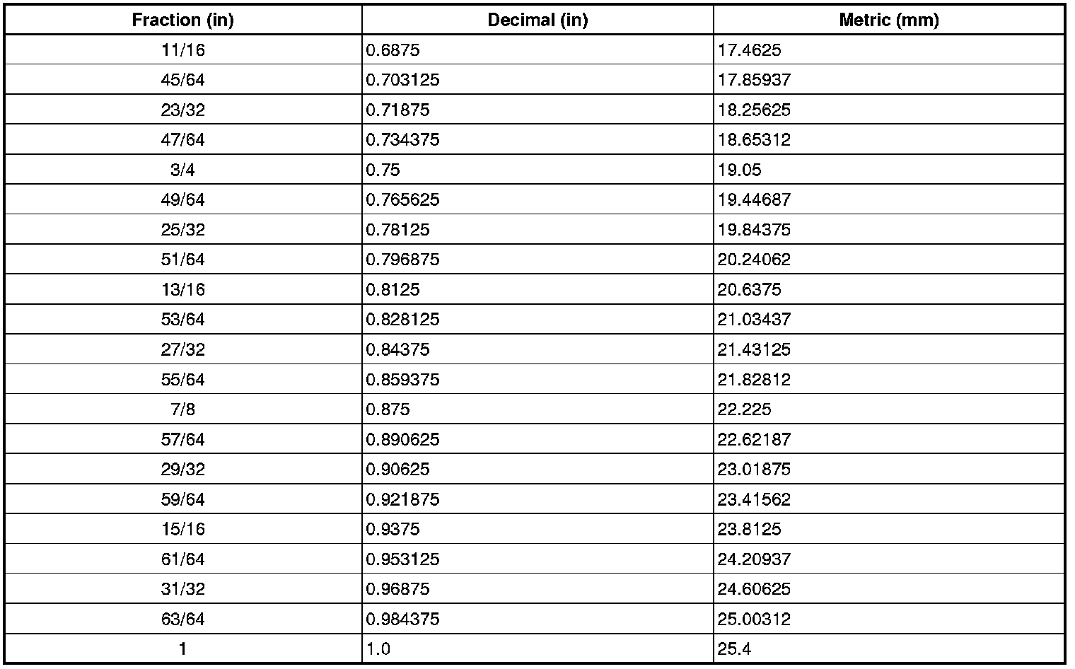
Decimal and Metric Equivalents
Decimal and Metric Equivalents
Decimal and Metric Equivalents