Curiosii for ever!: Car repair manuals for everyone.

Catalyst Monitoring

2. Catalyst Monitoring

2.1 Diagnostic Overview
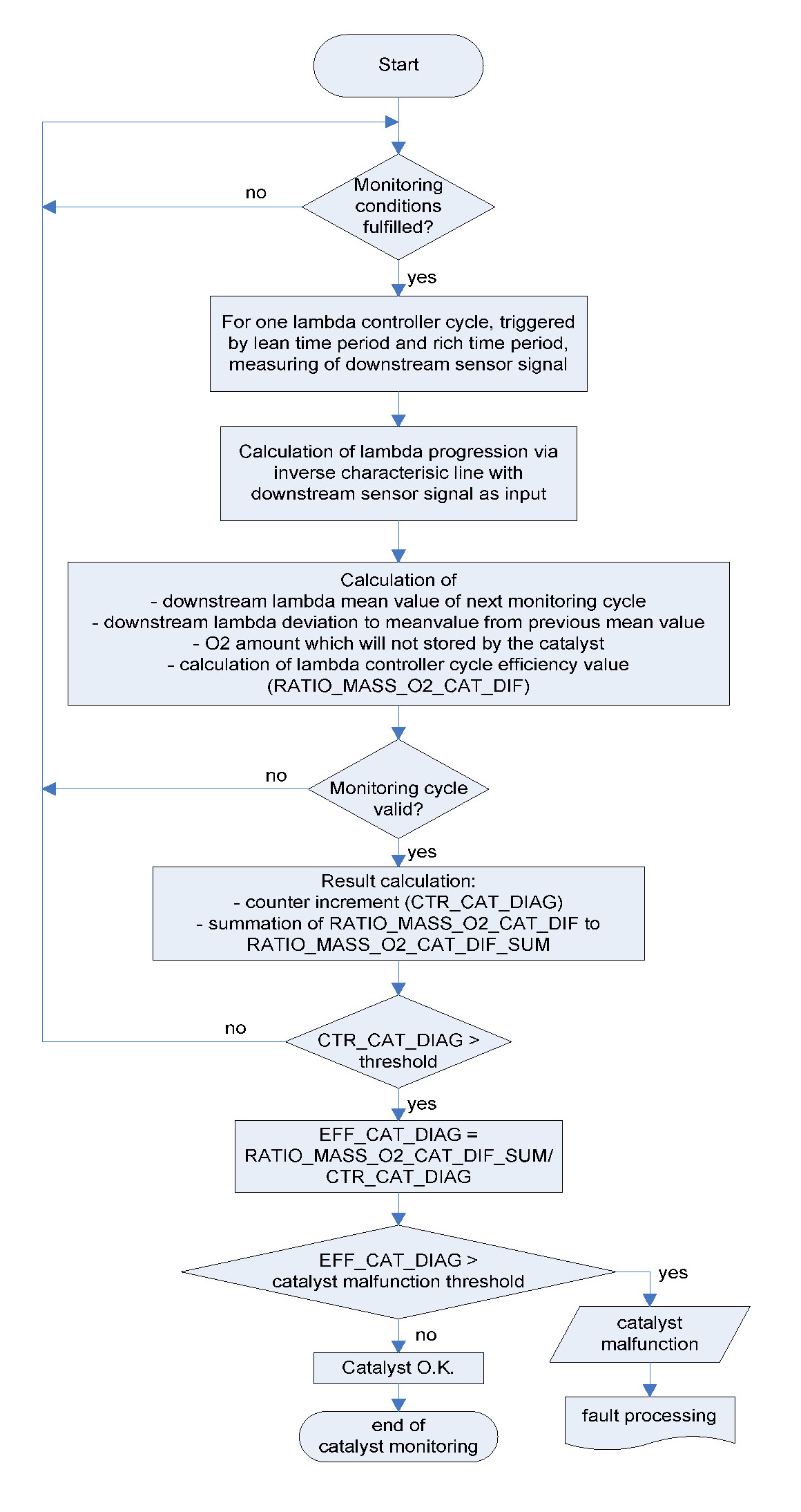
The diagnostic function which is used for monitoring of the catalyst efficiency is based on measure of the oxygen within the catalyst determined by the upstream and the downstream oxygen sensor. If all monitoring conditions are fulfilled, then a special defined A/F-modulation be done. The relation of the deviations between the current downstream-sensor-signal to the average value of the downstream-sensor-signal is a sign for catalyst condition. The catalyst system is considered malfunctioning, if after a specified number of monitoring cycles the average of the ratios exceeds a threshold. The corresponding fault code is stored.

2.1.1 General description
The first lean to rich cycle is only used to establish an average voltage value of the downstream sensor voltage. During subsequent lambda controller cycles the oxygen storage capacity (OSC) is based on the integrated (accumulated) value of the difference between the average value of the previous lean to rich cycle and the measured instantaneous voltage during the current lean to rich cycle. This surface integral will be normalized, weighted and corrected and is a measure of the catalyst efficiency. The catalyst system is considered malfunctioning, if after a specified number of monitoring cycles the average of the single efficiency values exceeds a threshold. The corresponding fault code is stored.

2.1.3 Flowchart






2.1.4 Variables List