Curiosii for ever!
: Car repair manuals for everyone.
Home
>>
Pontiac
>>
2009
>>
G3 L4-1.6L
>>
Repair and Diagnosis
>>
Specifications
>>
Electrical Specifications
>>
Computers and Control Systems
>>
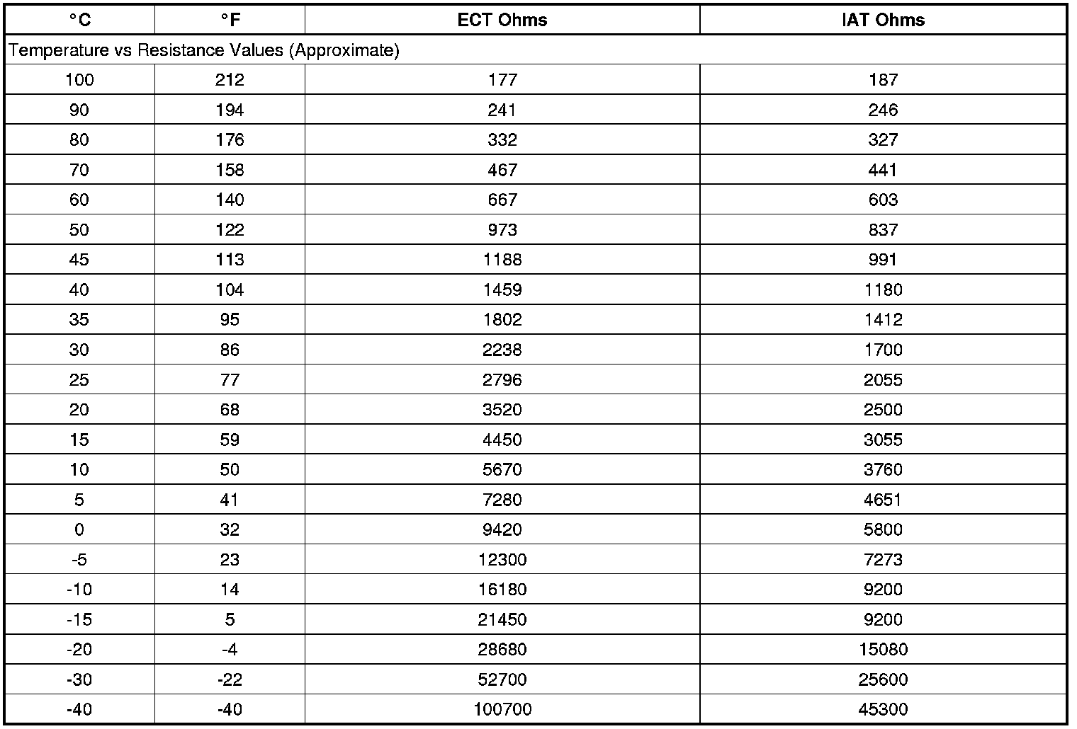
Temperature Versus Resistance
>>
With Variable Camshaft Phasing
With Variable Camshaft Phasing
Temperature Versus Resistance