Curiosii for ever!
: Car repair manuals for everyone.
Home
>>
Pontiac
>>
2006
>>
Vibe AWD L4-1.8L VIN 8
>>
Repair and Diagnosis
>>
Specifications
>>
Mechanical Specifications
>>
Transfer Case
>>
Vibe AWD Transfer Case
>>
Overhaul (Unit Repair)
>>
General Specifications
>>
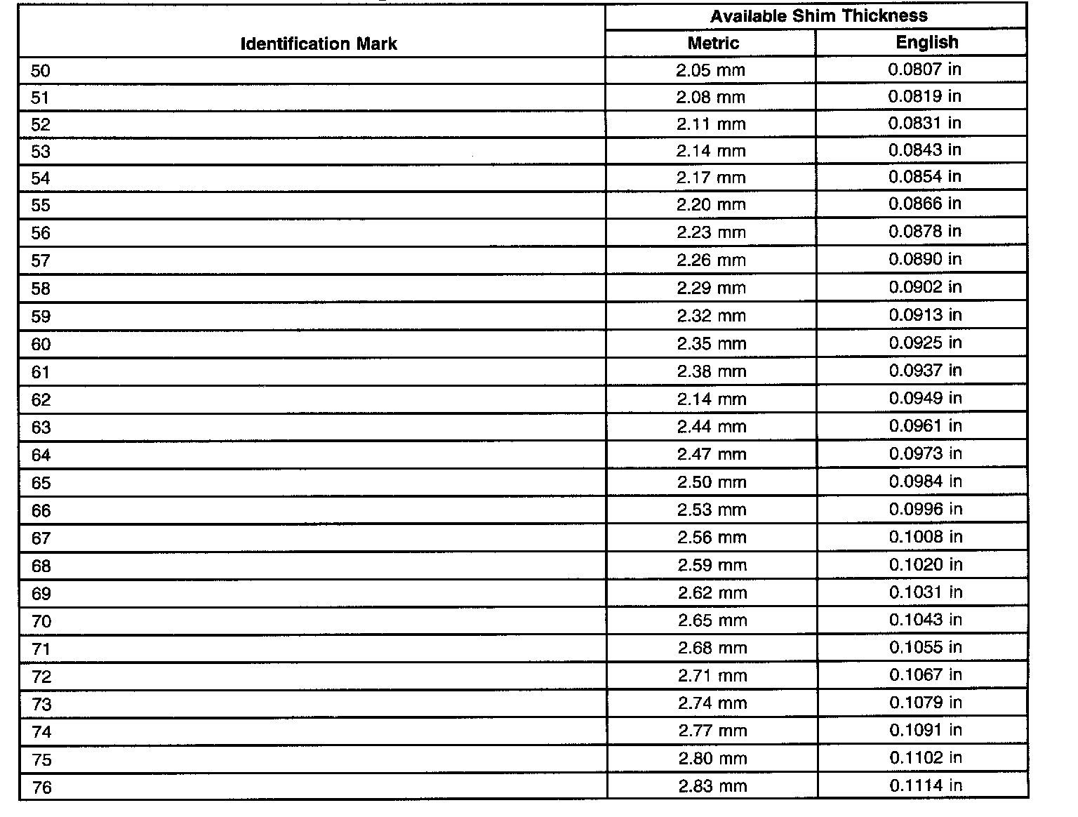
Ring Gear Backlash Shim Selection
Ring Gear Backlash Shim Selection
Ring Gear Backlash Shim Selection