Curiosii for ever!
: Car repair manuals for everyone.
Home
>>
Pontiac
>>
2006
>>
Pursuit (CANADA) L4-2.4L
>>
Repair and Diagnosis
>>
Specifications
>>
Mechanical Specifications
>>
Automatic Transmission/Transaxle
>>
System Specifications
>>
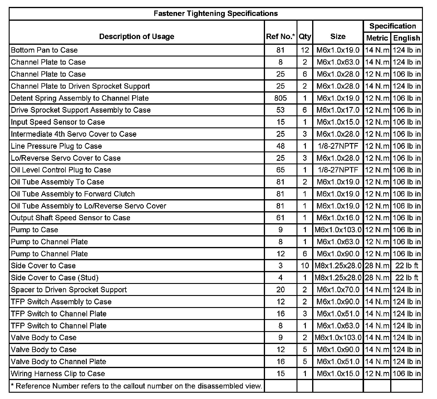
Fastener Tightening Specifications
Fastener Tightening Specifications
Fastener Tightening Specifications:
Fastener Tightening Specifications: