Curiosii for ever!
: Car repair manuals for everyone.
Home
>>
Pontiac
>>
2006
>>
Grand Prix V6-3.8L SC VIN 4
>>
Repair and Diagnosis
>>
Specifications
>>
Electrical Specifications
>>
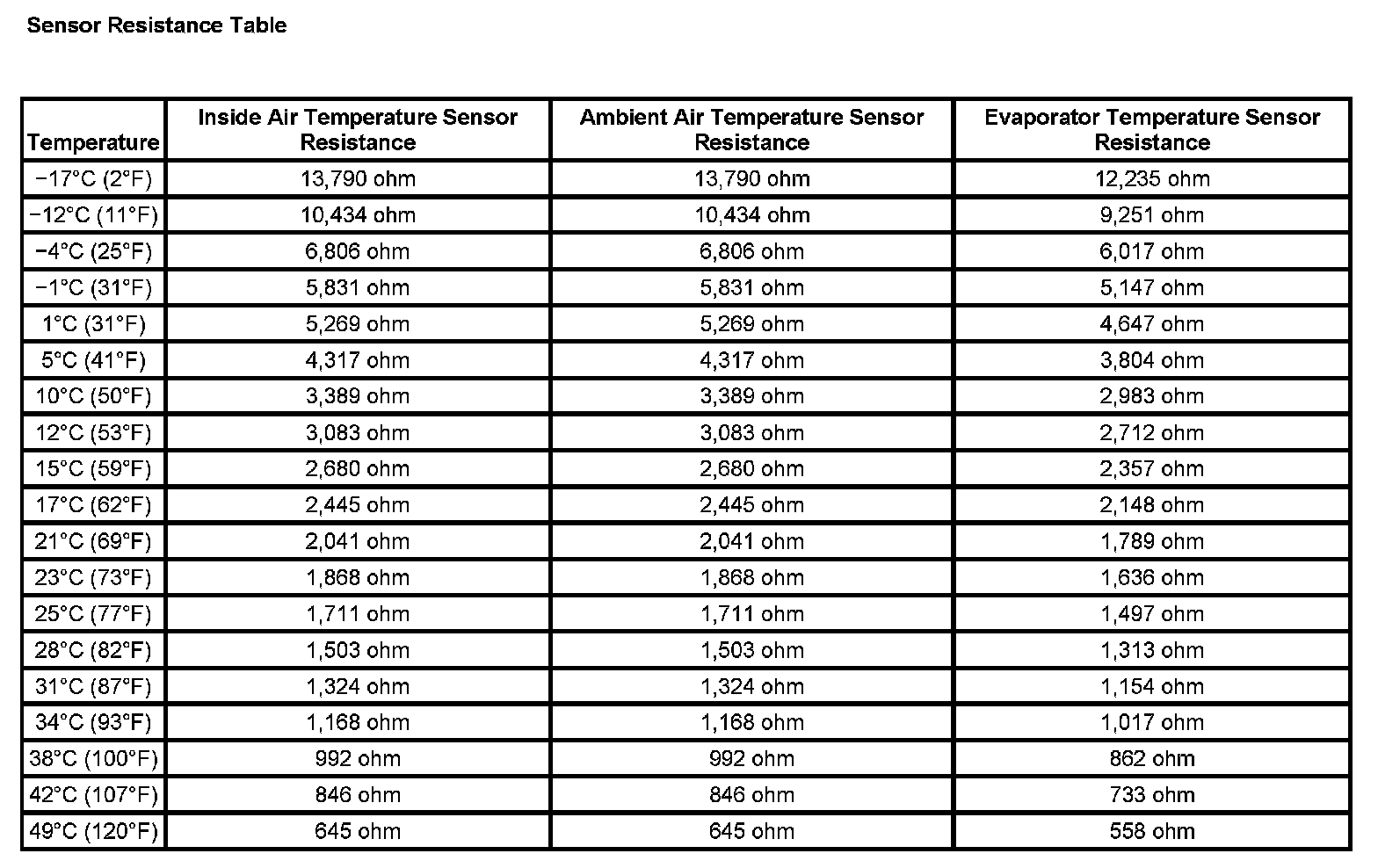
Heating and Air Conditioning
Heating and Air Conditioning