Curiosii for ever!
: Car repair manuals for everyone.
Home
>>
Pontiac
>>
2002
>>
Bonneville V6-3.8L SC VIN 1
>>
Repair and Diagnosis
>>
Powertrain Management
>>
Computers and Control Systems
>>
Relays and Modules - Computers and Control Systems
>>
Engine Control Module
>>
Diagrams
>>
Diagnostic Aids
>>
General Information
>>
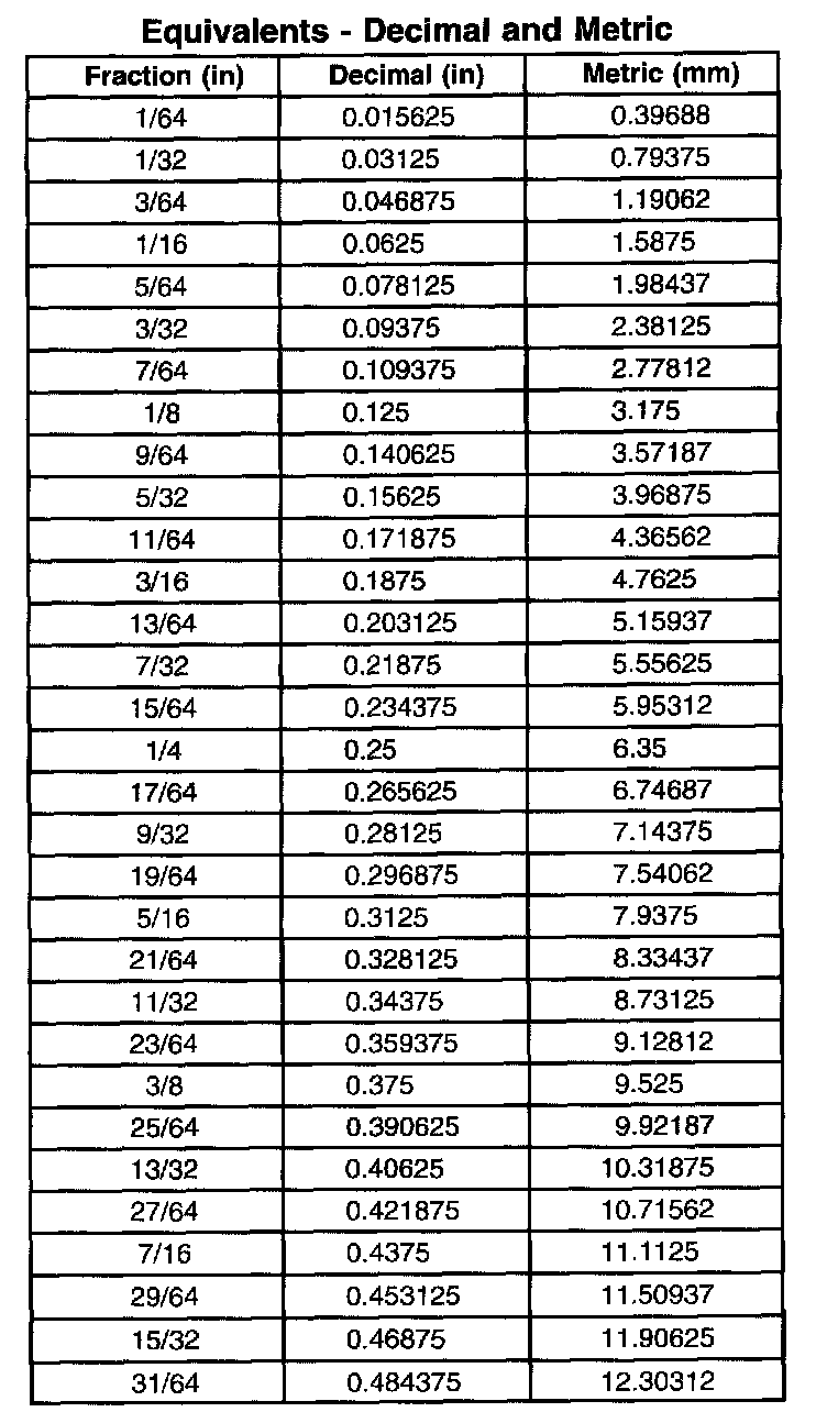
Equivalents - Decimal and Metric
Equivalents - Decimal and Metric
Equivalents - Decimal And Metric Part 1:
Equivalents - Decimal And Metric Part 2: