Curiosii for ever!: Car repair manuals for everyone.

Engine Controls - Manual Update Revised DTC 36 Chart

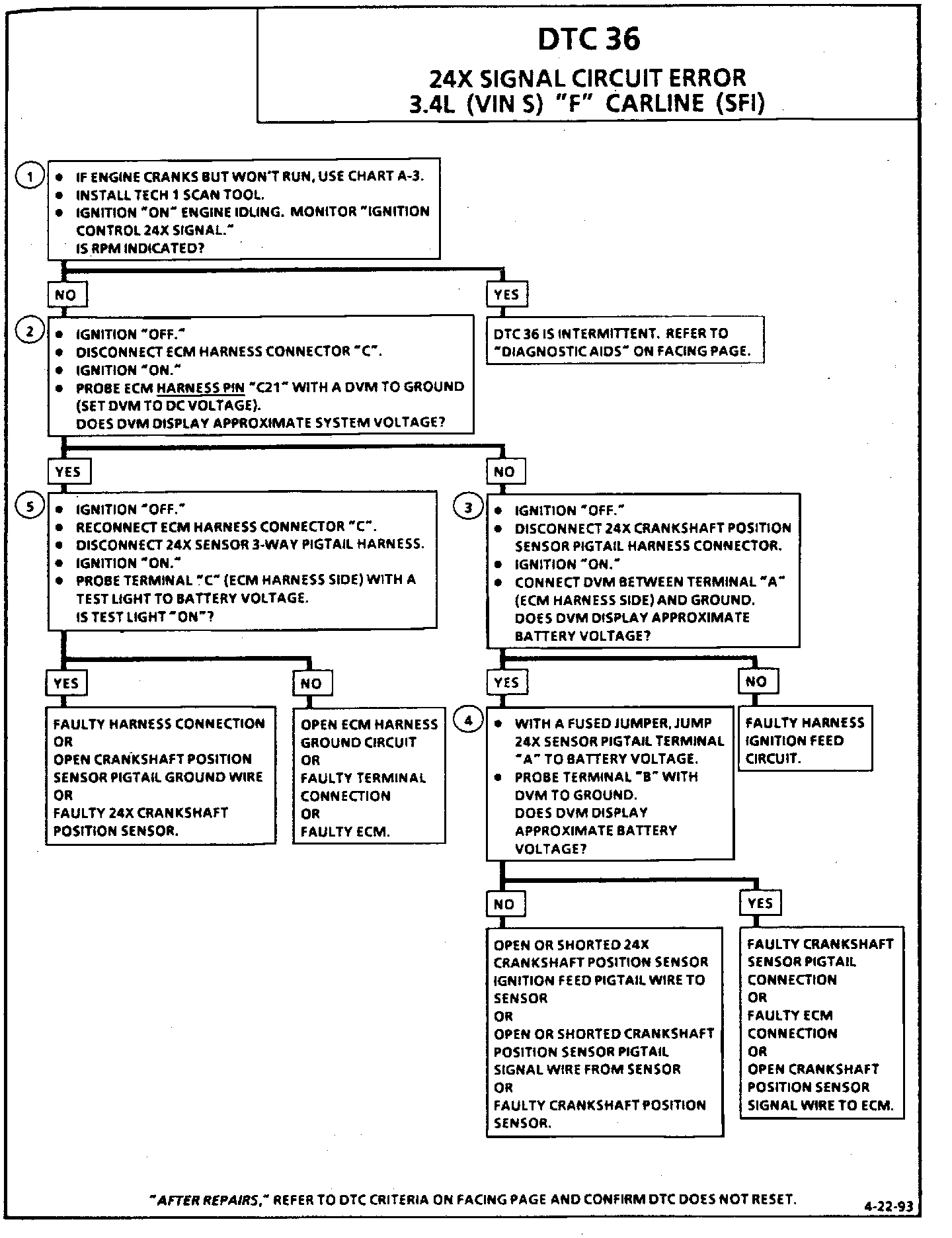
Bulletin Number: 93-6-36
Reference Number: 316505
Publish Date: 5/93

Subject:
SERVICE MANUAL UPDATE - SECTION 6E ENHANCED DTC 36 DIAGNOSTIC CHART AND FACING PAGE

Models Affected:
1993 FIREBIRD (VIN S - RPO L32)








This bulletin serves to revise the facing page and chart for Diagnostic Trouble Code (DTC) 36 in Section 6E3 "Driveability and Emissions" in the 1993 Firebird service manual with 3.4L (VIN S) engine.

These replacement pages clarify 24X crankshaft position sensor features and diagnosis.