Curiosii for ever!: Car repair manuals for everyone.

Engine Controls - Manual Update Revised Chart A-5

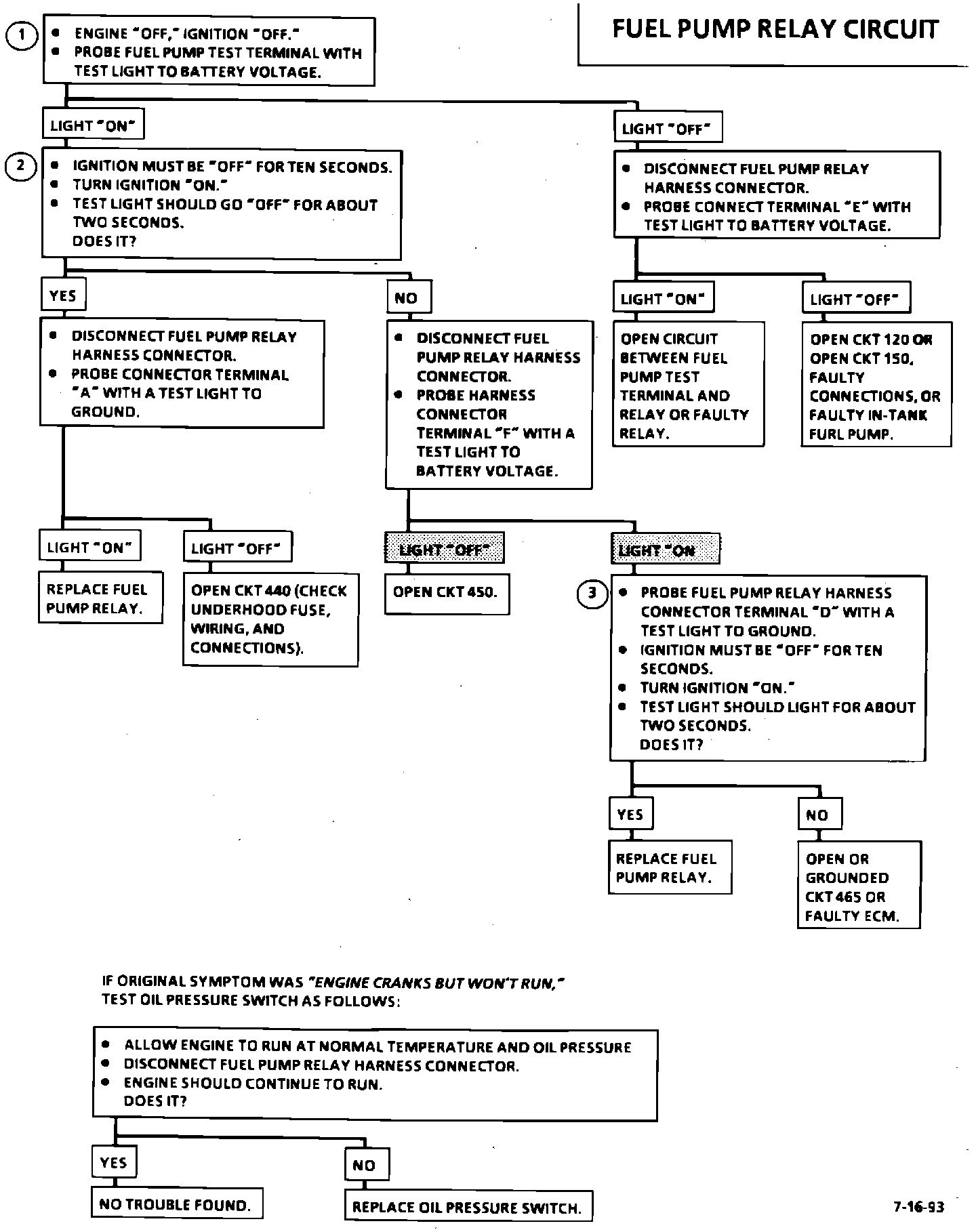
Bulletin Number: 91-6-63
Reference Number: 316305
Publish Date: 8/93

Subject:
SERVICE MANUAL UPDATE - SECTION 6E2 REVISED CHART A-5

Models Affected:
1989-91 6000 MODELS WITH 2.5L ENGINE (VIN R - RPO LR8)





This bulletin updates Section 6E2 for the 1989-91 Pontiac 6000 service manual. The updated A-5 Chart represents a change in diagnosing the fuel pump relay circuit.