Curiosii for ever!: Car repair manuals for everyone.

Engine Controls - Revised Chart C-2B and Code 44

89pontiac03

Bulletin Number: 89-6-23
Reference Number: 916504
Publish Date: 2/89
Subject: SERVICE MANUAL UPDATE - SECTION 6E-DRIVEABILITY AND EMISSIONS CHART C-2B/CODE 44/1988-89 2.8L/3.L

Models (VIN T, W)
Affected:
1989 6000 AND GRAND PRIX
This bulletin adds CHART C-2B (Idle Air Control Circuit) to Section 6E "Driveability And Emissions" of the Service Manual for the 1989 6000 and Grand Prix carlines with 2.8L LB6 (VIN W) and 3.1L LHO (VIN T) engines.

This bulletin also revises Code 44 - Oxygen Sensor Circuit (Lean Exhaust Indicated) facing page "Diagnostic Aids" in Section 6E in the above mentioned service manuals. Code 44 may set as a result of a faulty in the Idle Air Control (IAC) Circuit.






CHART C-2B

IDLE AIR CONTROL (IAC) CIRCUIT

2.8L (VIN W) & 3.1L (VIN T) "A", "J", "L" CARLINE (PORT)
Circuit Description:
Code 35 will set when the closed throttle engine speed is 300 rpm above or below the desired (commanded) idle speed for 50 seconds. Review the general description of the IAC operation in Section "C2".
Test Description: Numbers below refer to circled numbers on the diagnostic chart.
1. Continue with test even if engine will not idle. If idle is too low, "Scan" will display 80 or more counts, or steps. If idle is high it will display "0" counts. Occasionally an erratic or unstable idle may occur. Engine speed may vary 200 rpm or more up and down. Disconnect IAC. If the condition is unchanged, the IAC is not at fault. There is a system problem.
2. Be sure to disconnect the IAC valve prior to this test. The test light will confirm the ECM signals by a steady or flashing light on all circuits.
3. IAC wiring is routed from the ECM through a mini harness. Faulty connection or shorted wires could result in poor IAC operation.
4. This test checks for an internal short between the IAC coils.

Diagnostic Aids:

A slow unstable idle may be caused by a system problem that cannot be overcome by the IAC. "Scan" counts will be above 80 counts if idle is too low and "0" counts if it is too high.
^ System too lean high air/fuel ratio) Idle speed may be too high or too low. Engine speed may vary up and down, disconnecting IAC does not help. This may set Code 44.
"Scan" and/or voltmeter will read an oxygen sensor output less than 300 mV (.3 volt). Check for low regulated fuel pressure or water in fuel. A lean exhaust with an oxygen sensor output fixed above 800 mV (.8 volt) will be a contaminated sensor, usually silicone. This may also set a Code 45 or 61.
^ System too rich (low air/fuel ratio) Idle speed too low. "Scan" counts usually above
80. System obviously rich and may exhibit black smoke exhaust. "Scan" tool and/or voltmeter will read an oxygen sensor signal fixed above 800 mV (.8 volt). Check:
- For fuel in pressure regulator hose
- High fuel pressure
- Injector leaking or sticking.
^ Throttle body Remove IAC and inspect bore for foreign material or evidence of IAC valve dragging the bore.
^ A/C compressor or la failure See CHART C-10 if the A/C control relay drive circuit is shorted to ground or, if the relay is faulty, an idle problem may exist.
^ Refer to "Rough, Unstable, Incorrect Idle or Stalling" in "Symptoms" in Section "B".






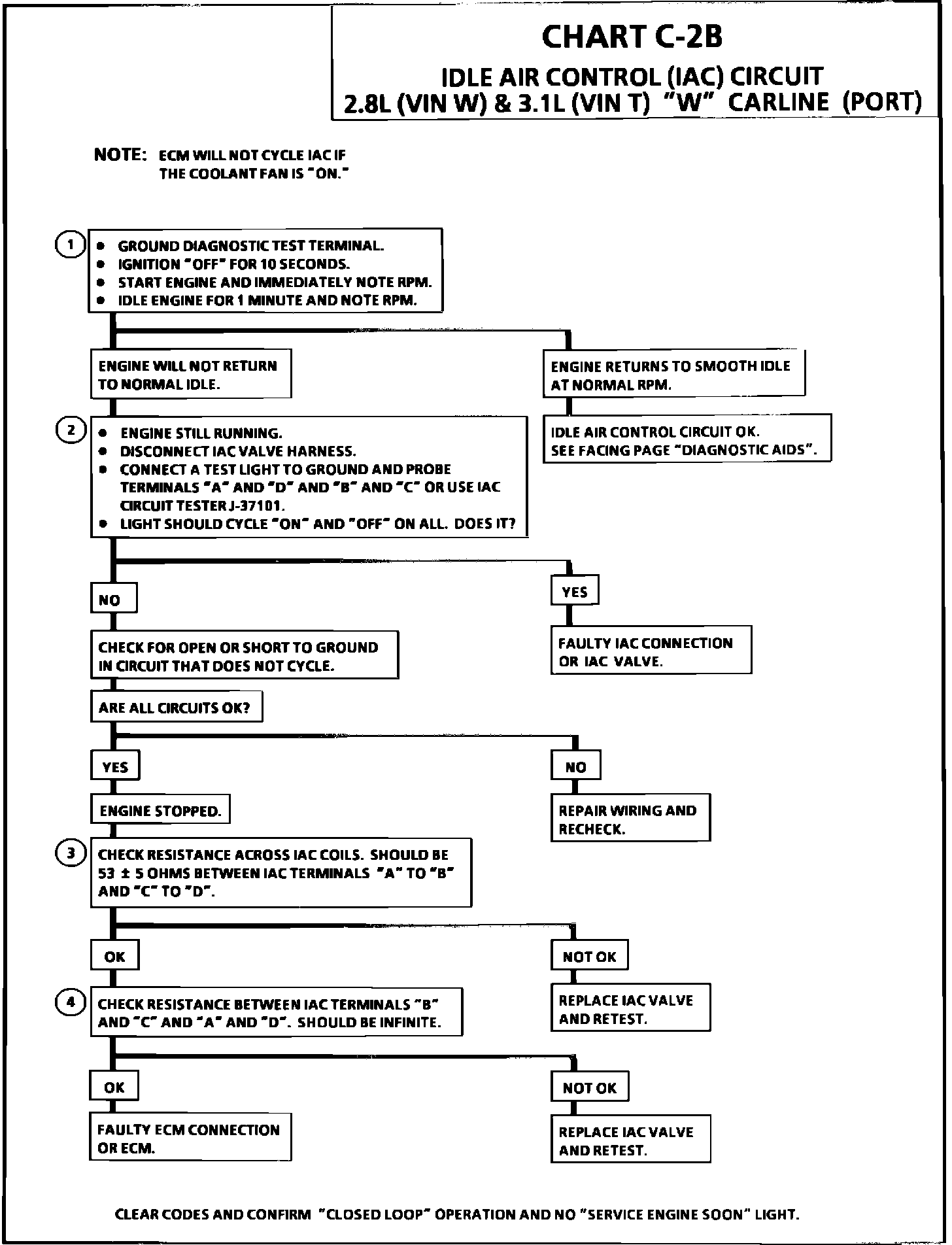
CHART C-2B

IDLE AIR CONTROL (IAC) CIRCUIT
2.8L (VIN W) & 3.1L (VIN T) "W" CARLINE (PORT)
Circuit Description:
Code 35 will set when the closed throttle engine speed is 300 rpm above or below the desired (commanded) idle speed for 50 seconds. Review the general description of the IAC operation in Section "C2".
Test Description: Numbers below refer to circled numbers on the diagnostic chart.
1. Continue with test even if engine will not idle. If idle is too low, "Scan" will display 80 or more counts, or steps. If idle is high it will display "0" counts. Occasionally an erratic or unstable idle may occur. Engine speed may vary 200 rpm or more up and down. Disconnect IAC. If the condition is unchanged, the IAC is not at fault. There is a system problem.
2. Be sure to disconnect the IAC valve prior to this test. The test light will confirm the ECM signals by a steady or flashing light on all circuits.
3. IAC wiring is routed from the ECM through a mini harness. Faulty connection or shorted wires could result in poor IAC operation.
4. This test checks for an internal short between the IAC coils.

Diagnostic Aids:

A slow unstable idle may be caused by a system problem that cannot be overcome by the IAC. "Scan" counts will be above 80 counts if idle is too low and "0" counts if it is too high.
^ System too lean (high air/fuel ratio) Idle speed may be too high or too low. Engine speed may vary up and down, disconnecting IAC does not help. This may set Code 44.
"Scan" and/or voltmeter will read an oxygen sensor output less than 300 mV (.3 volt). Check for low regulated fuel pressure or water in fuel. A lean exhaust with an oxygen sensor output fixed above 800 mV (.8 volt) will be a contaminated sensor, usually silicone. This may also set a Code 45 or 61.
^ System too rich (low air/fuel ratio) Idle speed too low. "Scan" counts usually above
80. System obviously rich and may exhibit black smoke exhaust. "Scan" tool and/or voltmeter will read an oxygen sensor signal fixed above 800 mV (.8 volt). Check:
- For fuel in pressure regulator hose
- High fuel pressure
- Injector leaking or sticking.
^ Throttle body Remove IAC and inspect bore for foreign material or evidence of IAC valve dragging the bore.
^ A/C compressor or la failure See CHART C-10 if the A/C control relay drive circuit is shorted to ground or, if the relay is faulty, an idle problem may exist.
^ Refer to "Rough, Unstable, Incorrect Idle or Stalling" in "Symptoms" in Section "B".



CODE 44

OXYGEN SENSOR CIRCUIT (LEAN EXHAUST INDICATED)
2.8L (VIN W) & 3.1L (VIN T) "A", "J","L","W" CARLINE (PORT)
Circuit Description:
The ECM supplies a voltage of about .45 volt between terminals "A16" and "A22". (If measured with a 10 megohm digital voltmeter, this may read as low as .32 volt.) The O2 sensor varies the voltage within a range of about 1 volt if the exhaust is rich, down through about .10 volt if exhaust is lean. The sensor is like an open circuit and produces no voltage when it is below about 315~C (600~F). An open sensor circuit or cold sensor causes "Open Loop" operation.
Test Description: Numbers below refer to circled numbers on the diagnostic chart. Code 44 will set if
^ Voltage on CKT 412 remains below .2 volt for 60 seconds or more;
^ The system is operating in "Closed Loop."

Diagnostic Aids:

Using the "Scan," observe the block learn values at different rpm and air flow conditions. The "Scan" also displays the block cells, so the block learn values can be checked in each of the cells to determine when the Code 44 may have been set. If the conditions for Code 44 exists the block learn values will be around 150.
^ Idle Air Control (IAC) Valve: A faulty IAC circuit can set a Code 44. Use CHART C-2B to verify proper operation of IAC valve.
^ O2 Sensor Wire: Sensor pigtail may be mispositioned and contacting the exhaust manifold.
^ Check for intermittent ground in wire between connector and sensor.
^ Lean Injector(s): Perform injector balance test CHART C-2A.
^ Fuel Contamination: Water, even in small amounts, near the in-tank fuel pump inlet can be delivered to the injectors. The water causes a lean exhaust and can set a Code 44.
^ Fuel Pressure: System will be lean if pressure is too low. It may be necessary to monitor fuel pressure while driving the car at various road speeds and/or loads to confirm. See "Fuel System Diagnosis" CHART A-7.
^ Exhaust Leaks: If there is an exhaust leak, the engine can cause outside air to be pulled into the exhaust and past the sensor. Vacuum or crankcase leaks can cause a lean condition.
^ If the above are OK, it is a faulty oxygen sensor.