Curiosii for ever!
: Car repair manuals for everyone.
Home
>>
Pontiac
>>
1983
>>
T1000 L4-111 1.8L DSL
>>
Repair and Diagnosis
>>
Powertrain Management
>>
Technical Service Bulletins
>>
All Technical Service Bulletins
>>
Computer Command Control - Updated Diagnostic Charts
>>
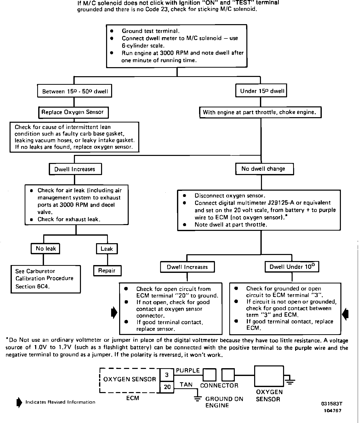
Chart "Code 44"
Chart "Code 44"
1983 CCC T CAR TROUBLE CODE 44 LEAN EXHAUST INDICATION: