Curiosii for ever!
: Car repair manuals for everyone.
Home
>>
Pontiac Truck
>>
1993
>>
Trans Sport V6-191 3.1L
>>
Repair and Diagnosis
>>
Powertrain Management
>>
Computers and Control Systems
>>
Vehicle Speed Sensor
>>
Testing and Inspection
>>
Symptom Related Diagnostic Procedures
>>
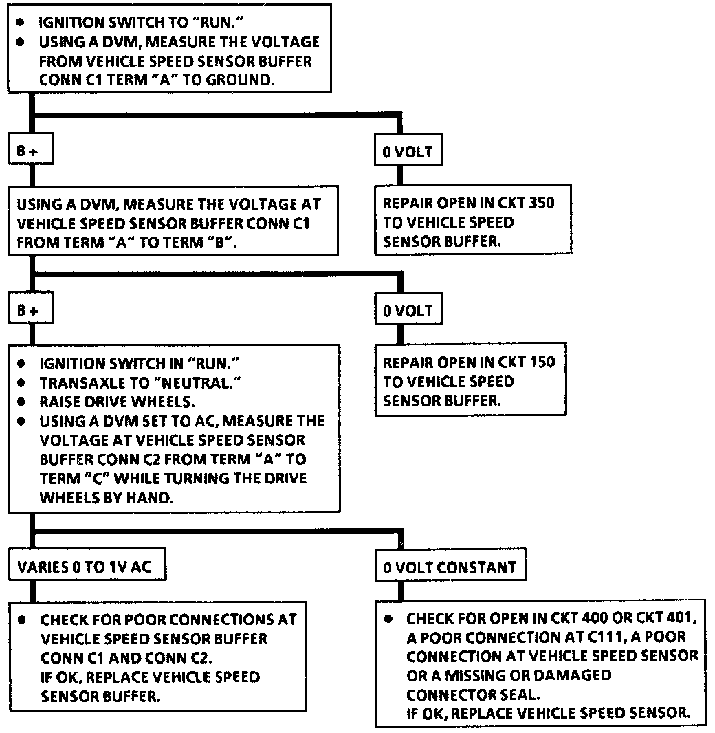
Speedometer Inoperative and ECM Code 24 Is Set
Speedometer Inoperative and ECM Code 24 Is Set
Diagnosis: Speedometer Inoperative And ECM Code 24 Is Set: