Curiosii for ever!
: Car repair manuals for everyone.
Home
>>
Plymouth
>>
1985
>>
Reliant L4-135 2.2L SOHC
>>
Repair and Diagnosis
>>
Specifications
>>
Mechanical Specifications
>>
Manual Transmission/Transaxle
>>
Clearance and Design Specifications
Clearance and Design Specifications
Specifications
A-460 & A-525 Transaxle Models
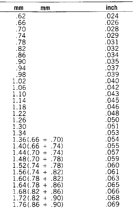
DIFFERENTIAL BEARING SHIM CHART
INPUT SHAFT SHIM CHART