Curiosii for ever!
: Car repair manuals for everyone.
Home
>>
Plymouth
>>
1982
>>
Turismo L4-134 2.2L VIN B 2-bbl
>>
Repair and Diagnosis
>>
Specifications
>>
Mechanical Specifications
>>
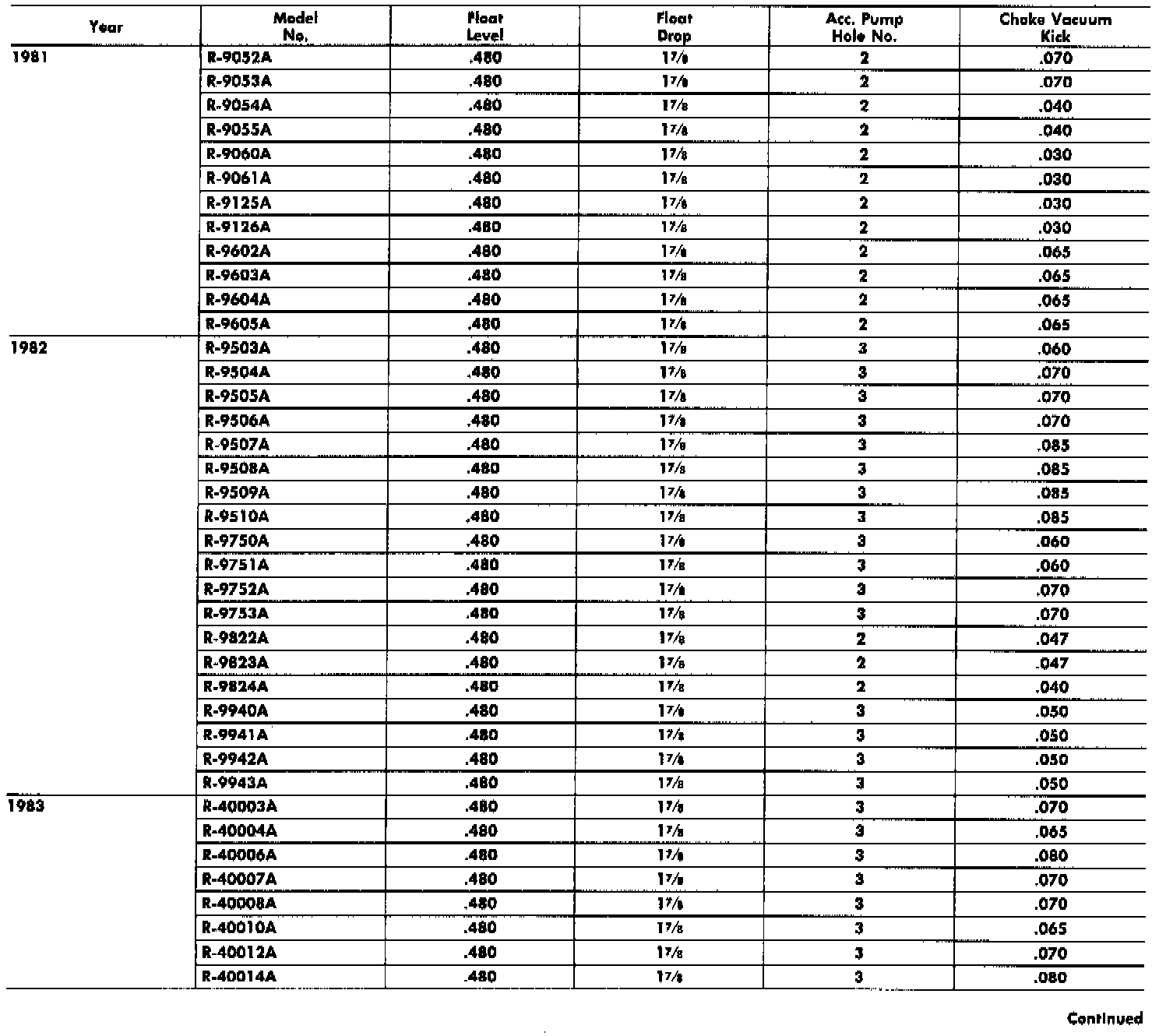
Carburetor
Carburetor
Carburetor: