Curiosii for ever!: Car repair manuals for everyone.

Ignition System: Testing and Inspection

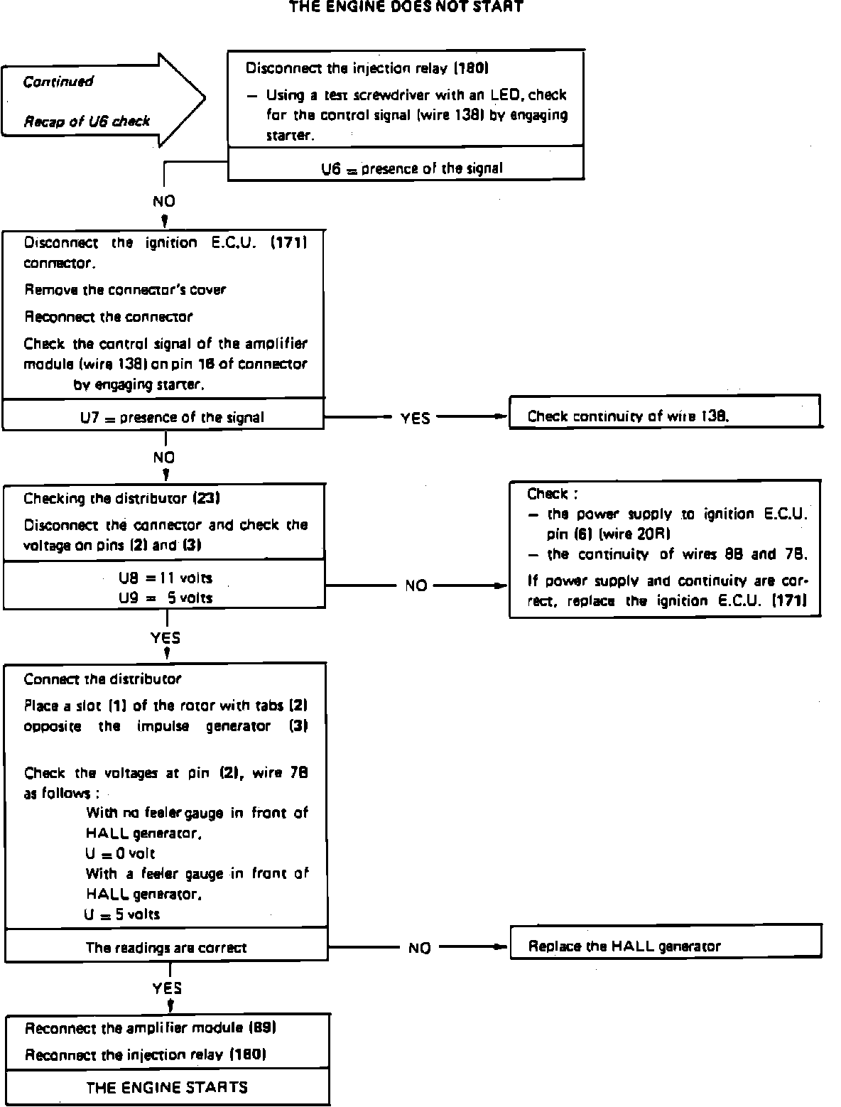
Fig. 1 Troubleshooting (Part 1 of 3):




Fig. 1 Troubleshooting (Part 2 Of 3):




Fig. 1 Troubleshooting (Part 3 Of 3):







Refer to troubleshooting charts, Figs. 1a, 1b, & 1c and 2, and ELECTRICAL AND ELECTRONIC DIAGRAMS for ignition system wiring circuits.