Curiosii for ever!
: Car repair manuals for everyone.
Home
>>
Oldsmobile
>>
2003
>>
Aurora V8-4.0L VIN C
>>
Repair and Diagnosis
>>
Specifications
>>
Mechanical Specifications
>>
Engine
>>
System Specifications
>>
Thread Repair Specifications
>>
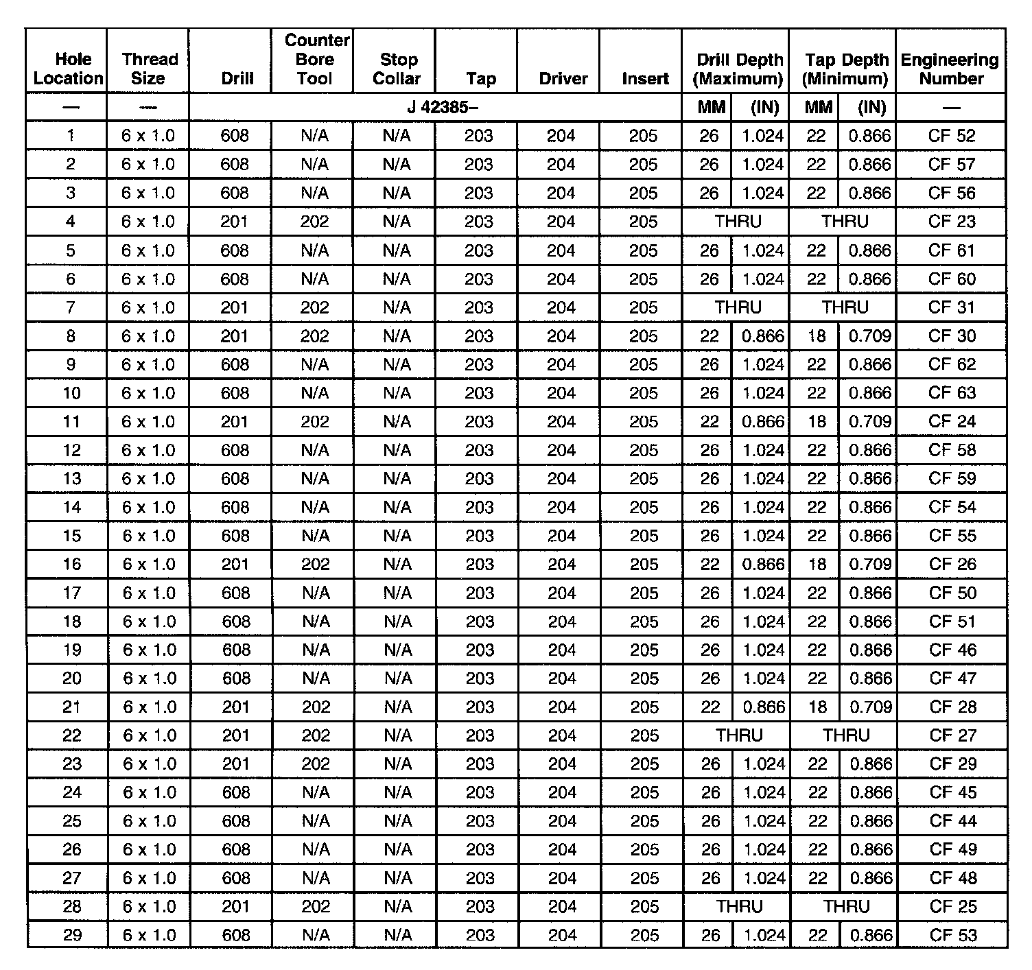
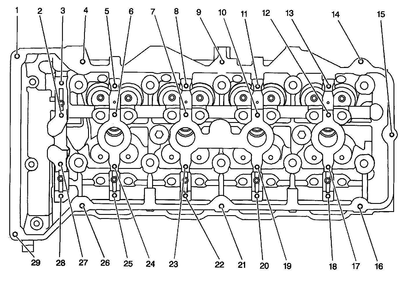
Right Cylinder Head Camshaft Cover Face
Right Cylinder Head Camshaft Cover Face
Right Cylinder Head
Camshaft Cover
Face
Part 1 of 2
Part 2 of 2