Curiosii for ever!
: Car repair manuals for everyone.
Home
>>
Oldsmobile
>>
2002
>>
Aurora V8-4.0L VIN C
>>
Repair and Diagnosis
>>
Specifications
>>
Mechanical Specifications
>>
Engine
>>
Cylinder Head Assembly
>>
System Specifications
>>
Thread Repair Specifications
>>
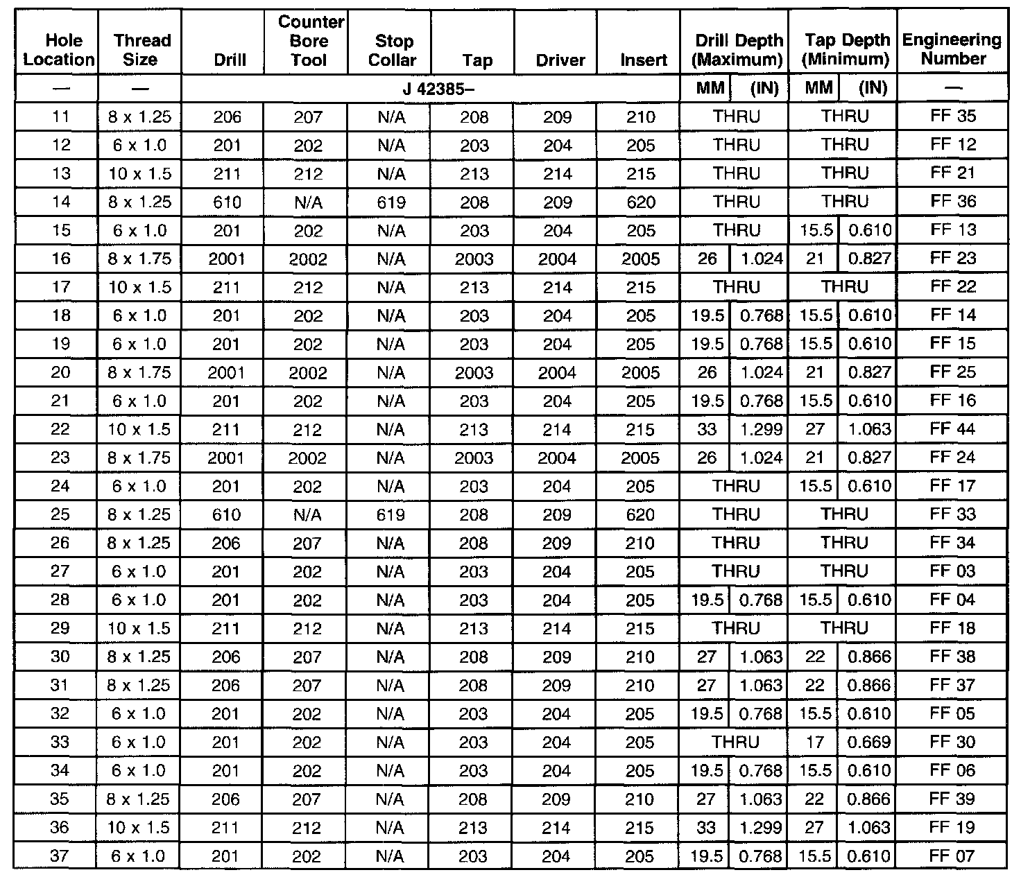
Engine Block Front
Engine Block Front
Engine Block Front
Part 1 of 2
Part 2 of 2