Curiosii for ever!
: Car repair manuals for everyone.
Home
>>
Oldsmobile
>>
1995
>>
Cutlass Ciera Cruiser L4-2.2L VIN 4
>>
Repair and Diagnosis
>>
Specifications
>>
Mechanical Specifications
>>
Automatic Transmission/Transaxle
>>
System Specifications
>>
Design and Diagnosis Specifications
Design and Diagnosis Specifications
Design and Clearance Specifications
3T40
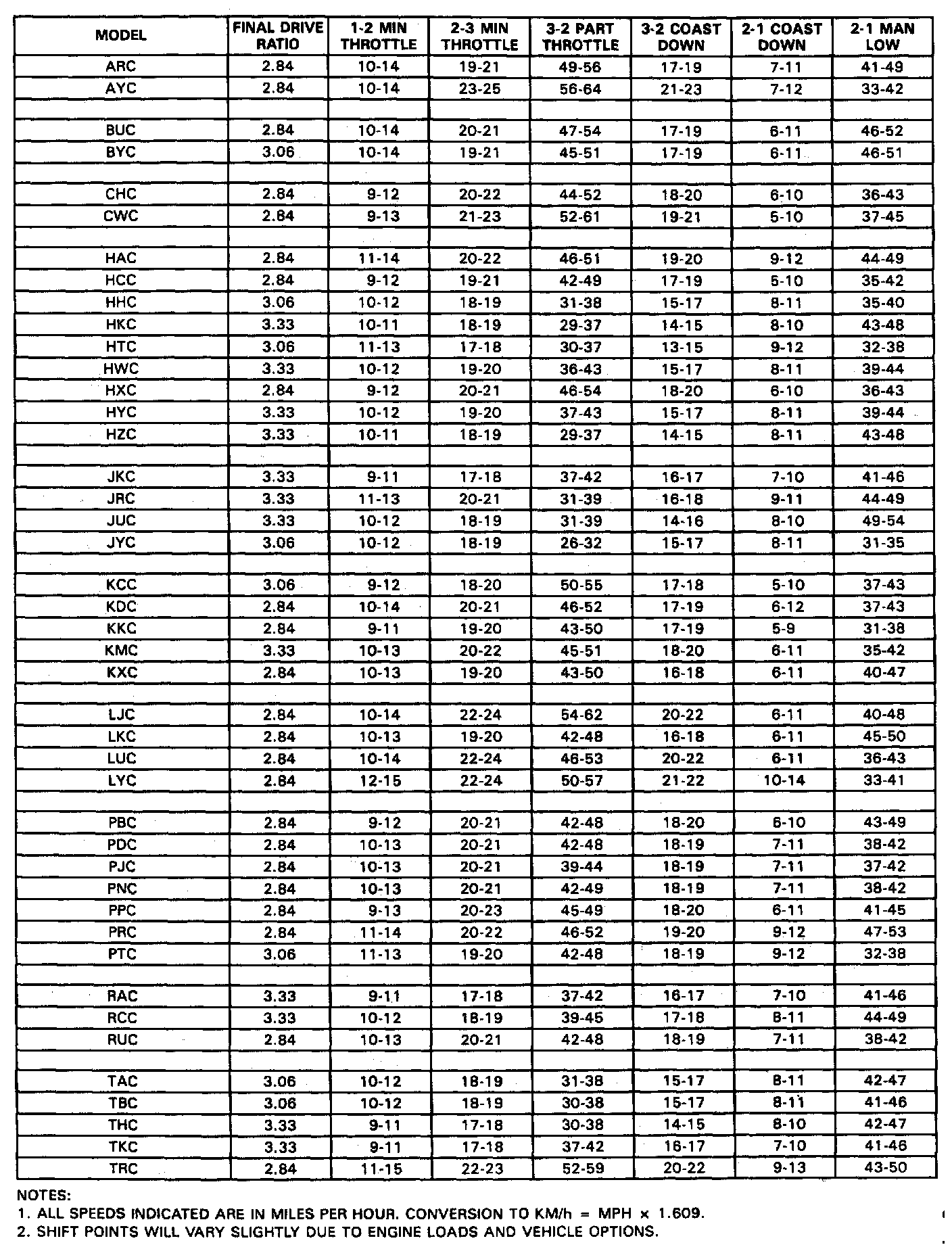
Shift Speed Chart:
Snap Ring Chart:
Lo Race Selective Spacer Chart:
Final Drive End Play Chart:
Forward Clutch Backing Plate Selection Chart: