Curiosii for ever!
: Car repair manuals for everyone.
Home
>>
Oldsmobile
>>
1994
>>
Achieva V6-3100 3.1L MFI VIN M
>>
Repair and Diagnosis
>>
Powertrain Management
>>
Computers and Control Systems
>>
Engine Control Module
>>
Specifications
Engine Control Module: Specifications
PCM Connector End View 1 Of 3:
PCM
Connector A
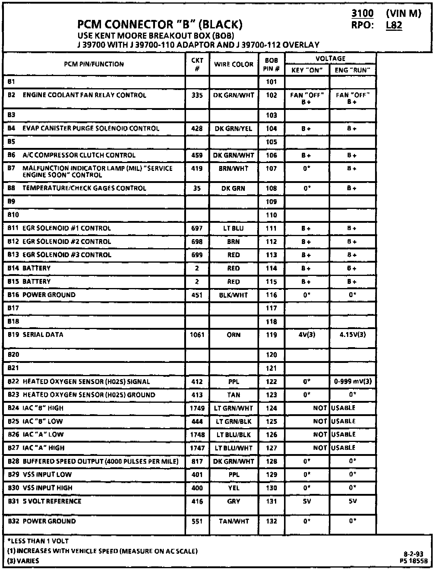
PCM Connector End View 2 Of 3:
PCM
Connector B
PCM Connector End View 3 Of 3:
PCM
Connector C