Curiosii for ever!
: Car repair manuals for everyone.
Home
>>
Oldsmobile
>>
1992
>>
Ninety-Eight V6-3800 3.8L Supercharged
>>
Repair and Diagnosis
>>
Heating and Air Conditioning
>>
Relays and Modules - HVAC
>>
Control Module HVAC
>>
Testing and Inspection
>>
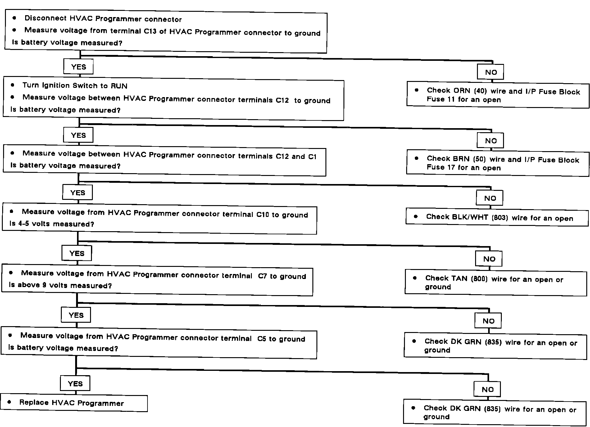
Test C: HVAC Programmer Test
Test C: HVAC Programmer Test
Test C: HVAC Programmer Test: