Curiosii for ever!: Car repair manuals for everyone.

Electronic Spark Control Module: Testing and Inspection

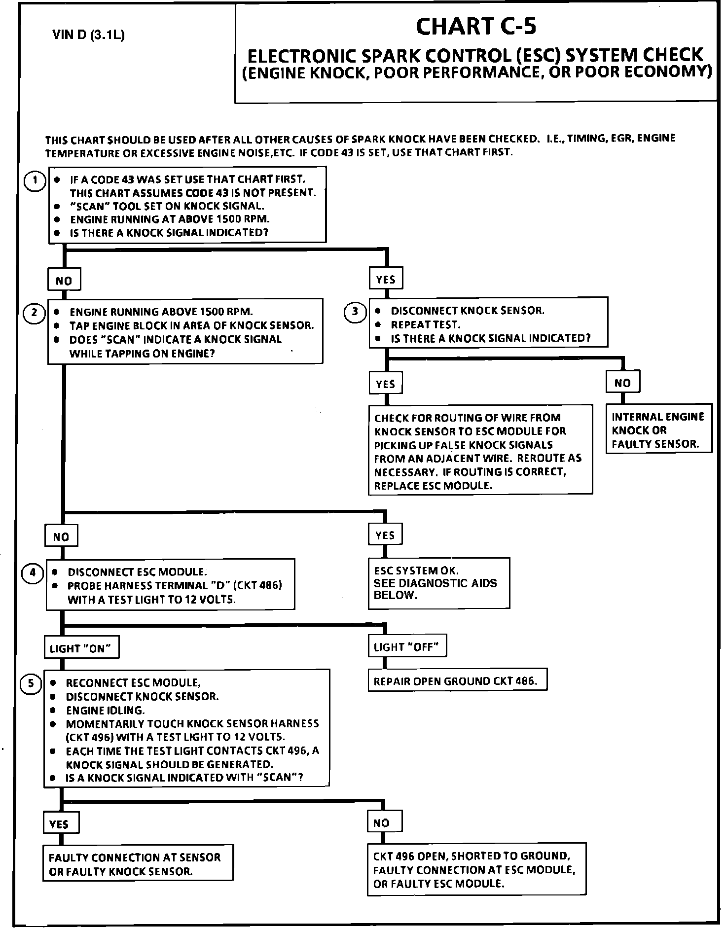
Chart C-5 - Electronic Spark Control (ESC) System Check:




Wiring Diagram For Chart C-5 - Electronic Spark Control (ESC) System Check:





CIRCUIT DESCRIPTION:

Electronic Spark Control (ESC) is accomplished with a module that sends a voltage signal to the ECM. As the knock sensor detects engine knock, the voltage from the ESC module to the ECM is reduced and this signals the ECM to retard timing, if engine rpm is over about 1500 or vehicle speed is greater than 10 mph.

TEST DESCRIPTION: Numbers below refer to circled numbers on the diagnostic chart.

1. If a Code 43 is not set, but a knock signal is indicated while running above 1500 rpm, listen for an internal engine noise. Under a no load condition, there should not be any detonation, and if knock is indicated, an internal engine problem may exist.

2. Usually a knock signal can be generated by tapping on the right exhaust manifold. This test can also be performed at idle. Test number 1 was run above 1500 rpm, to determine if a constant knock signal was present, which would affect engine performance.

3. This tests whether the knock signal is due to the sensor, a basic engine problem, or the ESC module.

4. If the module ground circuit is faulty, the ESC module will not function correctly. The test light should light indicating the ground circuit is OK.

5. Contacting CKT 496, with a test light to 12 volts, should generate a knock signal to determine whether the knock sensor is faulty, or the ESC module can't recognize a knock signal.