Curiosii for ever!
: Car repair manuals for everyone.
Home
>>
Nissan-Datsun
>>
2012
>>
Sentra L4-2.5L (QR25DE)
>>
Repair and Diagnosis
>>
Specifications
>>
Pressure, Vacuum and Temperature Specifications
>>
Continuously Variable Transmission/Transaxle, CVT
>>
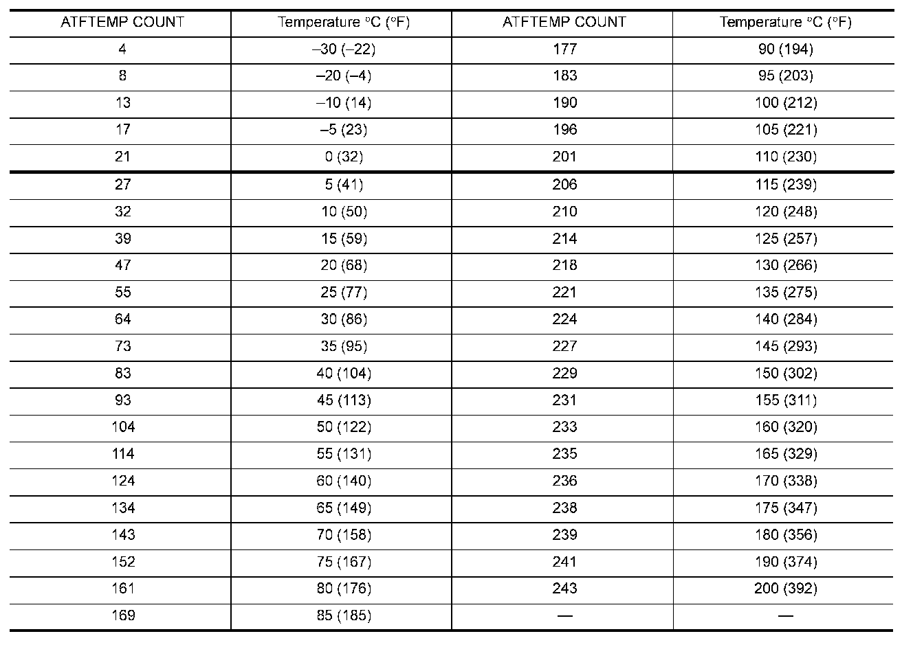
ATFTEMP Count Conversion Table
ATFTEMP Count Conversion Table
PRECAUTIONS
ATFTEMP COUNT Conversion Table