Common Item
DIAGNOSIS SYSTEM (BCM)
COMMON ITEM : CONSULT Function (BCM - COMMON ITEM)
APPLICATION ITEM
CONSULT performs the following functions via CAN communication with BCM.
SYSTEM APPLICATION
BCM can perform the following functions for each system.
NOTE:
It can perform the diagnosis modes except the following for all sub system selection items.
x: Applicable item
*: For models with automatic air conditioner, this model is not used.
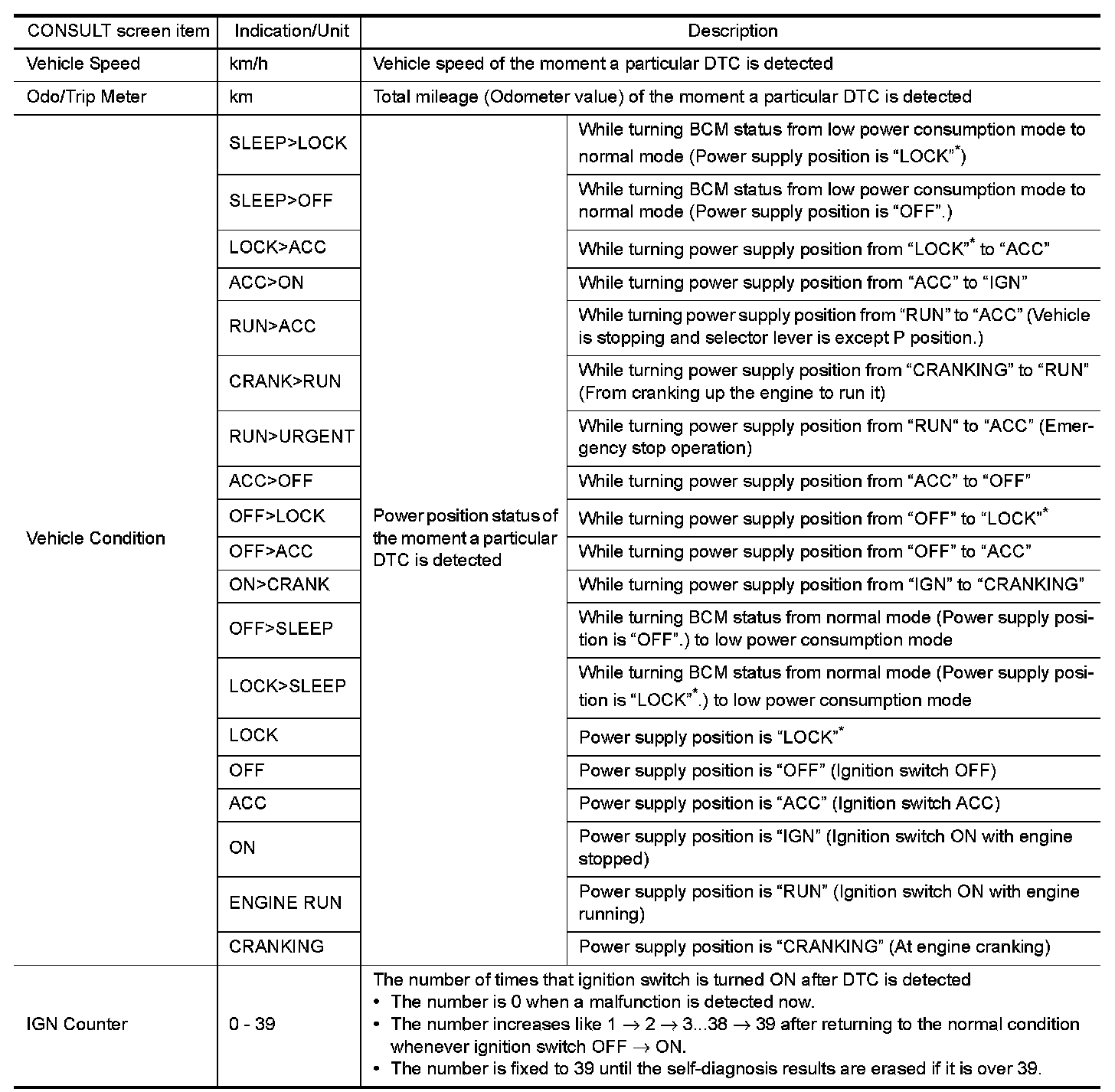
FREEZE FRAME DATA (FFD)
The BCM records the following vehicle condition at the time a particular DTC is detected, and displays on
CONSULT.
NOTE:
*: Power position shifts to "LOCK" from "OFF", when ignition switch is in the OFF position, selector lever is in the P position (CVT models), and any of the following conditions are met.
- Closing door
- Opening door
- Door is locked using door request switch
- Door is locked using Intelligent Key
The power position shifts to "ACC" when the push-button ignition switch (push switch) is pushed at "LOCK".