Curiosii for ever!: Car repair manuals for everyone.

Radiator Cooling Fan Control Module: Description and Operation

System Description

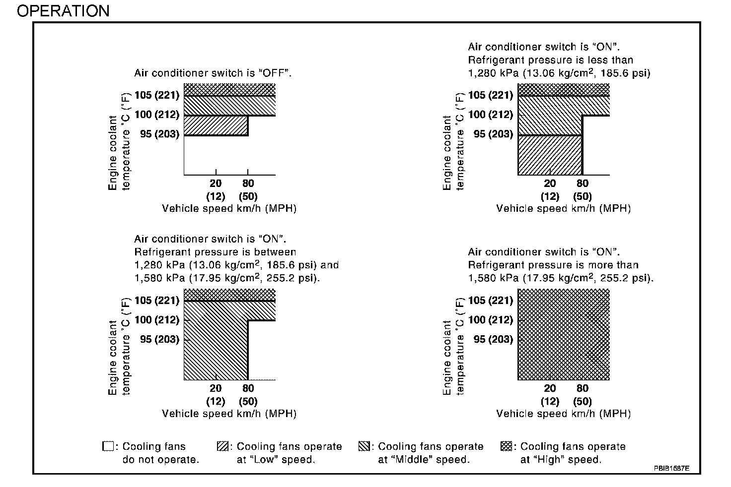
COOLING FAN CONTROL







The ECM controls the cooling fan corresponding to the vehicle speed, engine coolant temperature, refrigerant pressure, and air conditioner ON signal. The control system has 4-step control [HIGH/MIDDLE/LOW/OFF]. The ECM controls cooling fan relays through CAN communication line.