Curiosii for ever!: Car repair manuals for everyone.

Radiator Cooling Fan Control Module: Description and Operation

ENGINE OVER TEMPERATURE

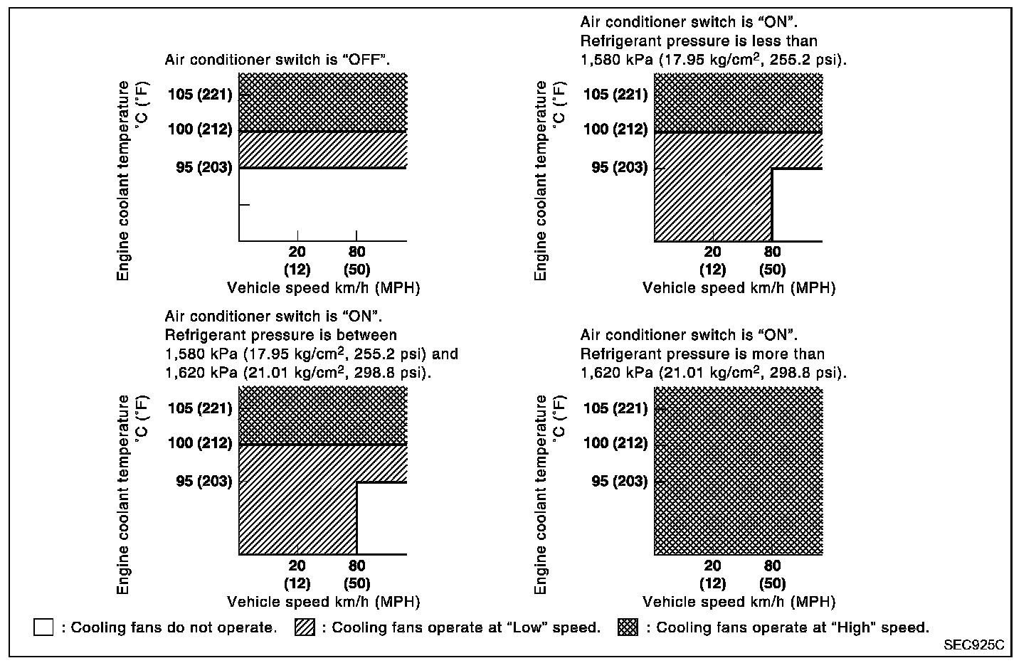
Cooling Fan Control:




Operation:




The ECM controls the cooling fan corresponding to the vehicle speed, engine coolant temperature, refrigerant pressure and air conditioner ON signal. The control system has 3-step control [HIGH/LOW/OFF].