Curiosii for ever!
: Car repair manuals for everyone.
Home
>>
Nissan-Datsun
>>
2002
>>
Sentra SE-R L4-2.5L (QR25DE)
>>
Repair and Diagnosis
>>
Powertrain Management
>>
Computers and Control Systems
>>
Testing and Inspection
>>
Initial Inspection and Diagnostic Overview
>>
Diagnostic Strategies
>>
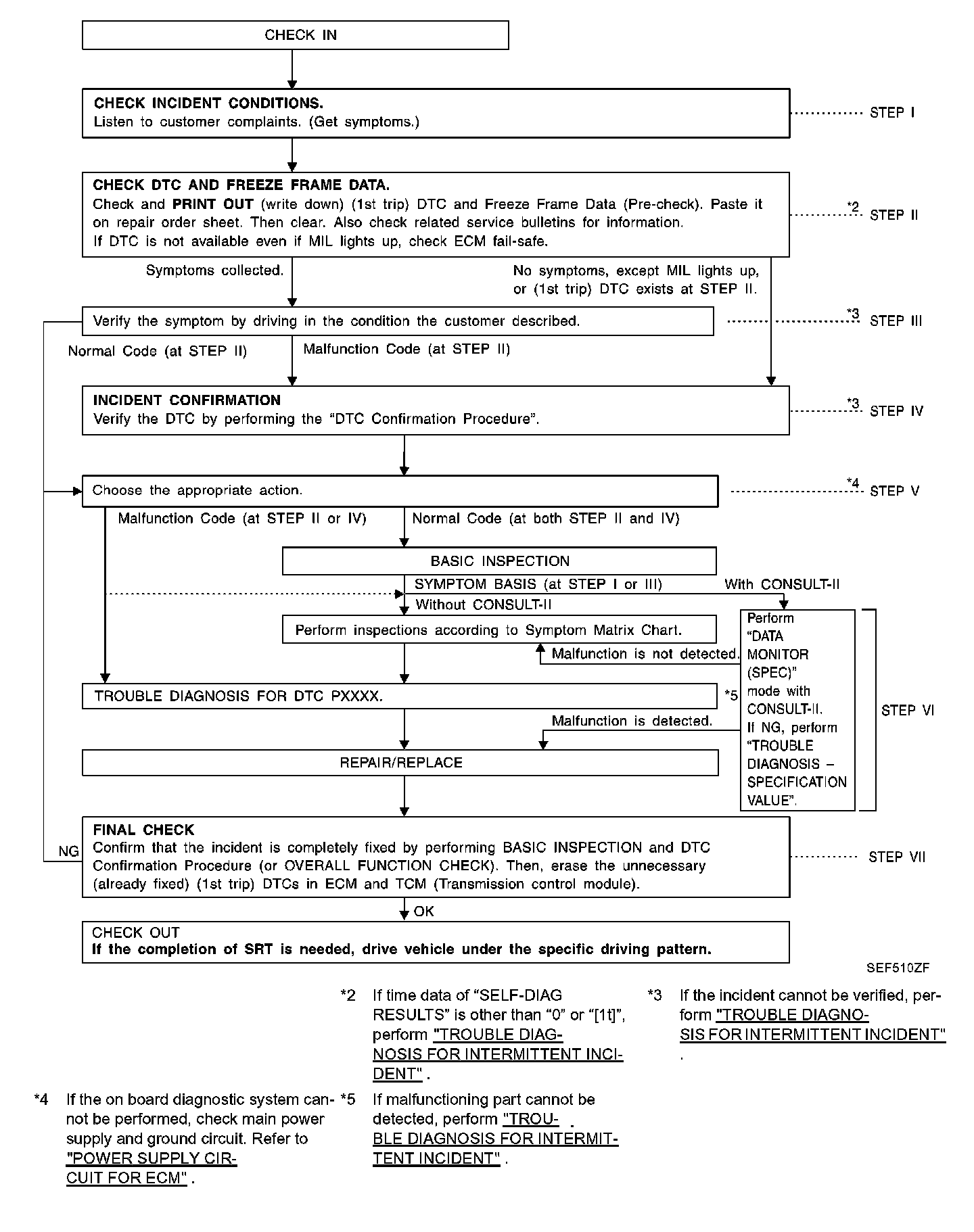
Work Flow
Work Flow
Flow Chart:
Description For Work Flow: