Curiosii for ever!: Car repair manuals for everyone.

How to Select A Main Bearing

When New Cylinder Block and Crankshaft are Used:





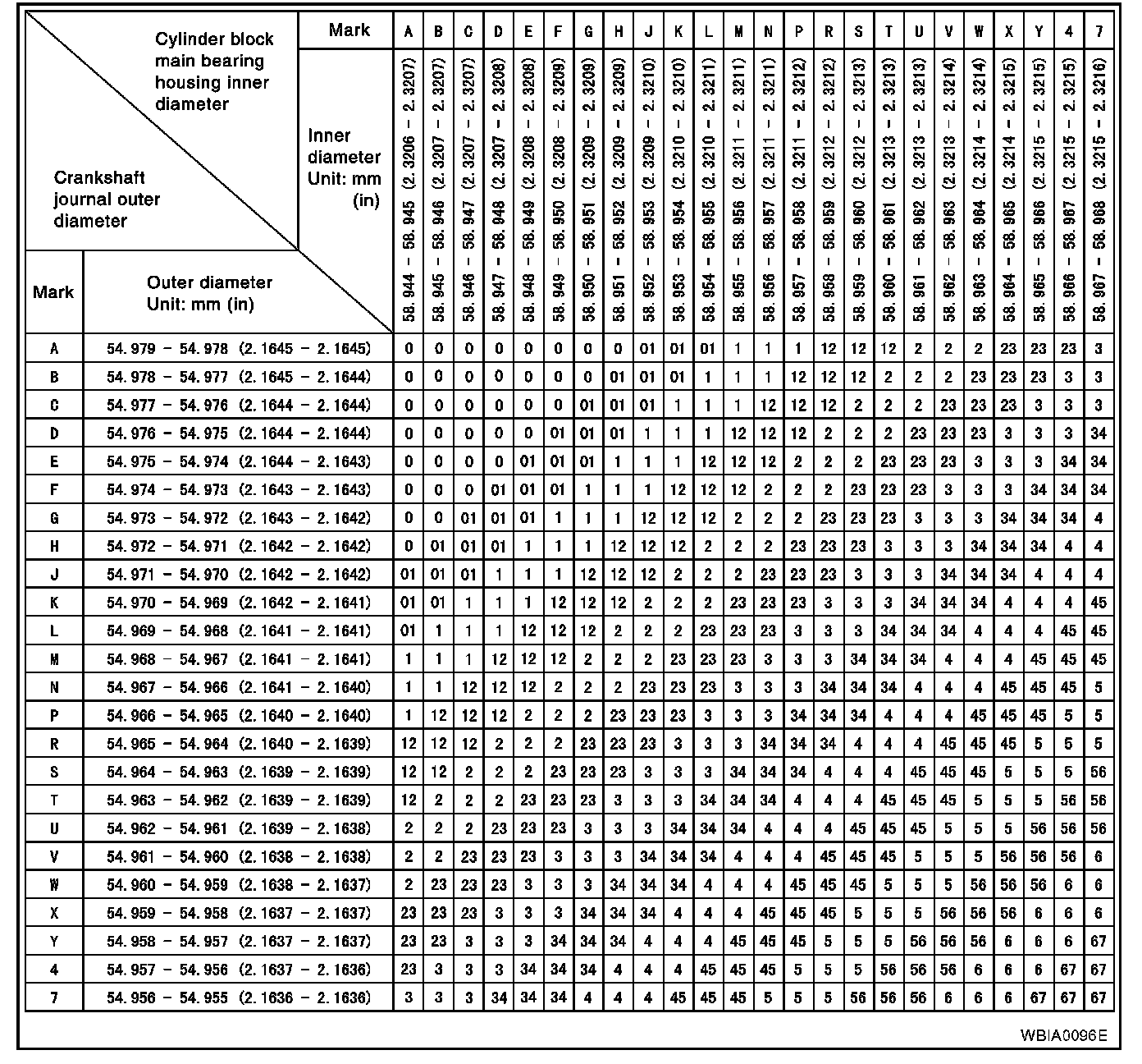
1. "Main Bearing Selection Table" rows correspond to bearing housing grade on rear left side of cylinder block.
^ If there is a corrected stamp mark on the cylinder block, use it as a correct reference.





2. Apply journal diameter grade stamped on crankshaft front side to column in "Main Bearing Selection Table".
3. Find value at crossing of row and column in "Main Bearing Selection Table".

CAUTION: There are two main bearing selection tables. One is for odd-numbered journals (1, 3, and 5) and the other is for even-numbered journals (2 and 4). Make certain to use the appropriate table. This is due to differences in the specified clearances.

4. Apply the symbol obtained to "Main Bearing Grade Table" to select.

NOTE: Service parts are available as a set of both upper and lower.

When Cylinder Block and Crankshaft are Reused:
1. Measure inner diameter of cylinder block main bearing housing and outer diameter of crankshaft journal.
2. Apply measurement in above step 1 to the "Main Bearing Selection Table".
3. Follow steps 3 and 4 in "When New Cylinder Block and Crankshaft are Used".





Main Bearing Selection Table (No. 1, 3, and 5 journals)





Main Bearing Selection Table (No. 2 and 4 journals)

Main Bearing Grade Table (All Journals)





1 of 2





2 of 2

Use Undersize Bearing Usage Guide
^ Use undersize (U.S.) bearing when oil clearance with standard size main bearing is not within specification.
^ When using undersize (U.S.) bearing, measure the bearing inner diameter with the bearing installed and grind journal until oil clearance falls within specification.





Bearing Undersize Table





CAUTION: Do not damage fillet R when grinding crankshaft journal in order to use an undersize bearing (all journals).