Curiosii for ever!
: Car repair manuals for everyone.
Home
>>
Nissan-Datsun
>>
2002
>>
Maxima GLE V6-3.5L (VQ35)
>>
Repair and Diagnosis
>>
Powertrain Management
>>
Computers and Control Systems
>>
Engine Control Module
>>
Diagrams
>>
Diagnostic Aids
>>
How to Perform Efficient Diagnosis For an Electrical Incident
>>
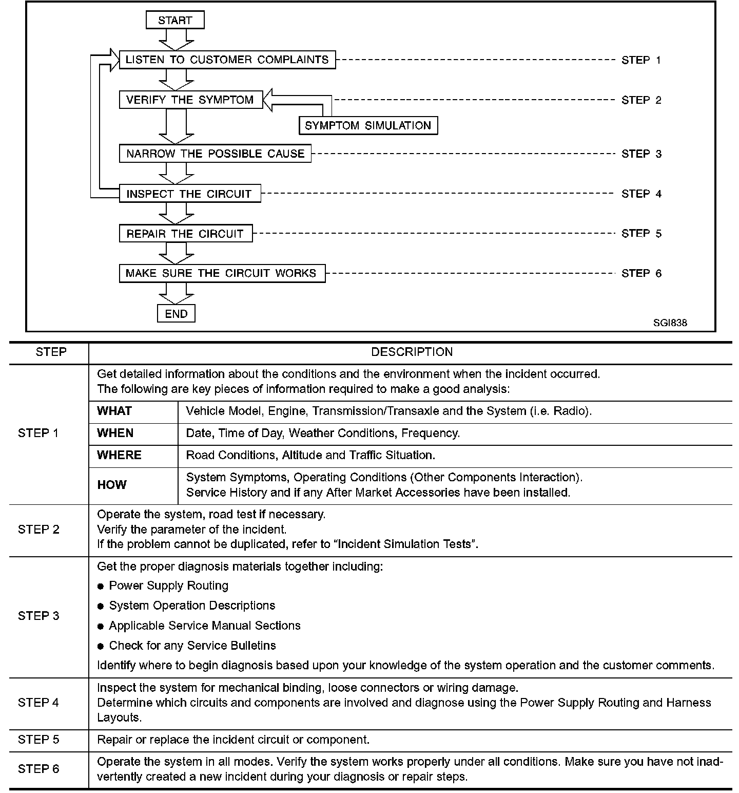
Work Flow
Work Flow
Work Flow: