Curiosii for ever!: Car repair manuals for everyone.

Condenser Fan Control Circuit

Radiator Fan Control Diagnostic Chart:





DIAGNOSTIC CHART IMAGE

Radiator Fan Control Diagnostic Chart:




Radiator Fan Control Diagnostic Chart:





PROCEDURE "A" IMAGE

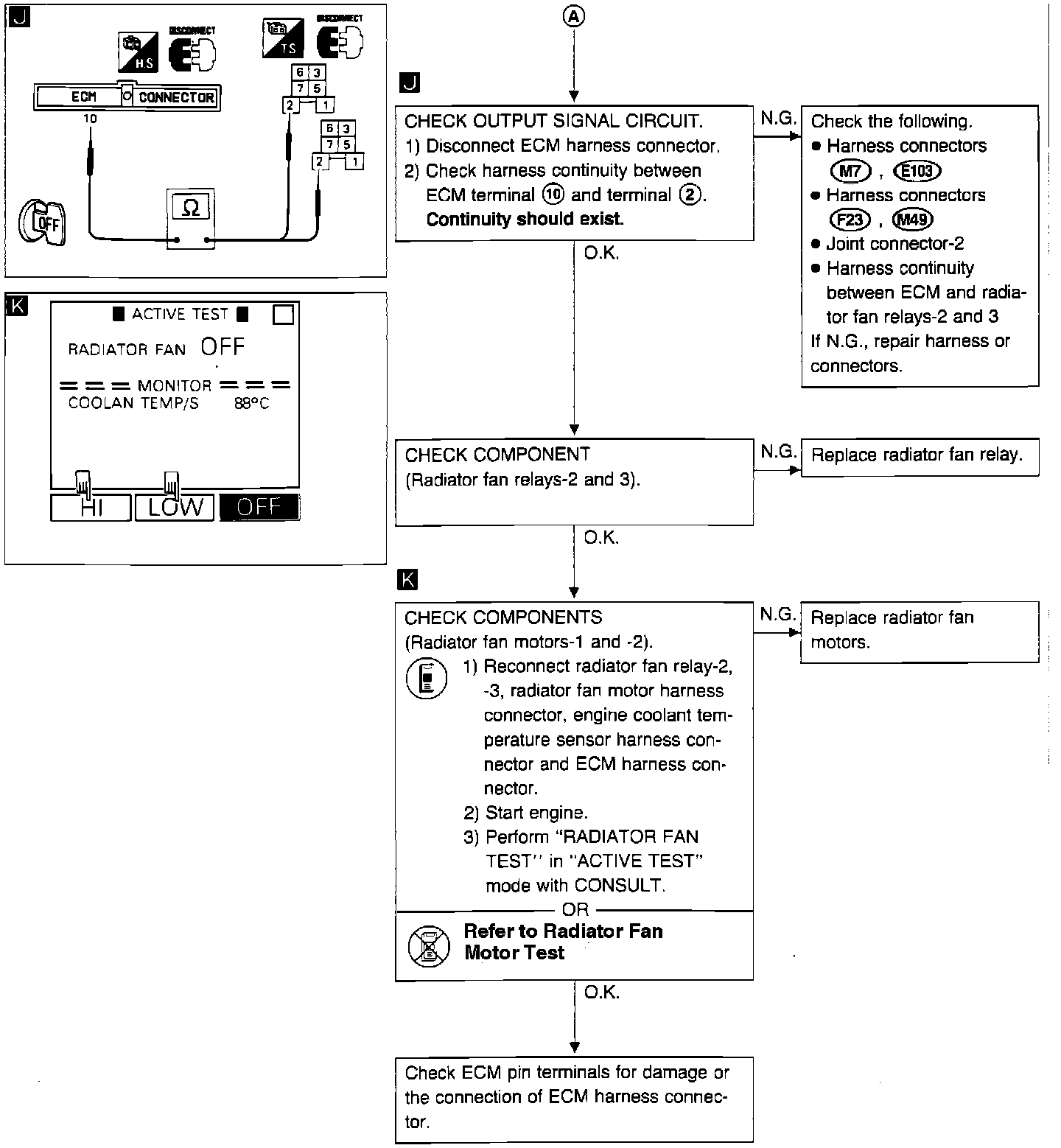
Radiator Fan Control Diagnostic Chart:




Radiator Fan Control Diagnostic Chart:





PROCEDURE "B" IMAGE

Fig. 1 Wiring Circuit:





CIRCUIT DIAGRAM IMAGE

Radiator Fan Motor Connector Location:





CONNECTOR LOCATION IMAGE

Radiator Fan Relay 1 Location:




Radiator Fan Relays 2 And 3 Location:





RELAY LOCATION IMAGE