Curiosii for ever!: Car repair manuals for everyone.

A/C - Revised A/C Compressor Removal And Installation

No: TSB-12-55-005

DATE: May, 2012

MODEL: 2012 iMiEV

SUBJECT:

A/C COMPRESSOR REMOVAL AND INSTALLATION -
SERVICE MANUAL REVISION

[TSB Revision: TSB-12-55-005]

PURPOSE

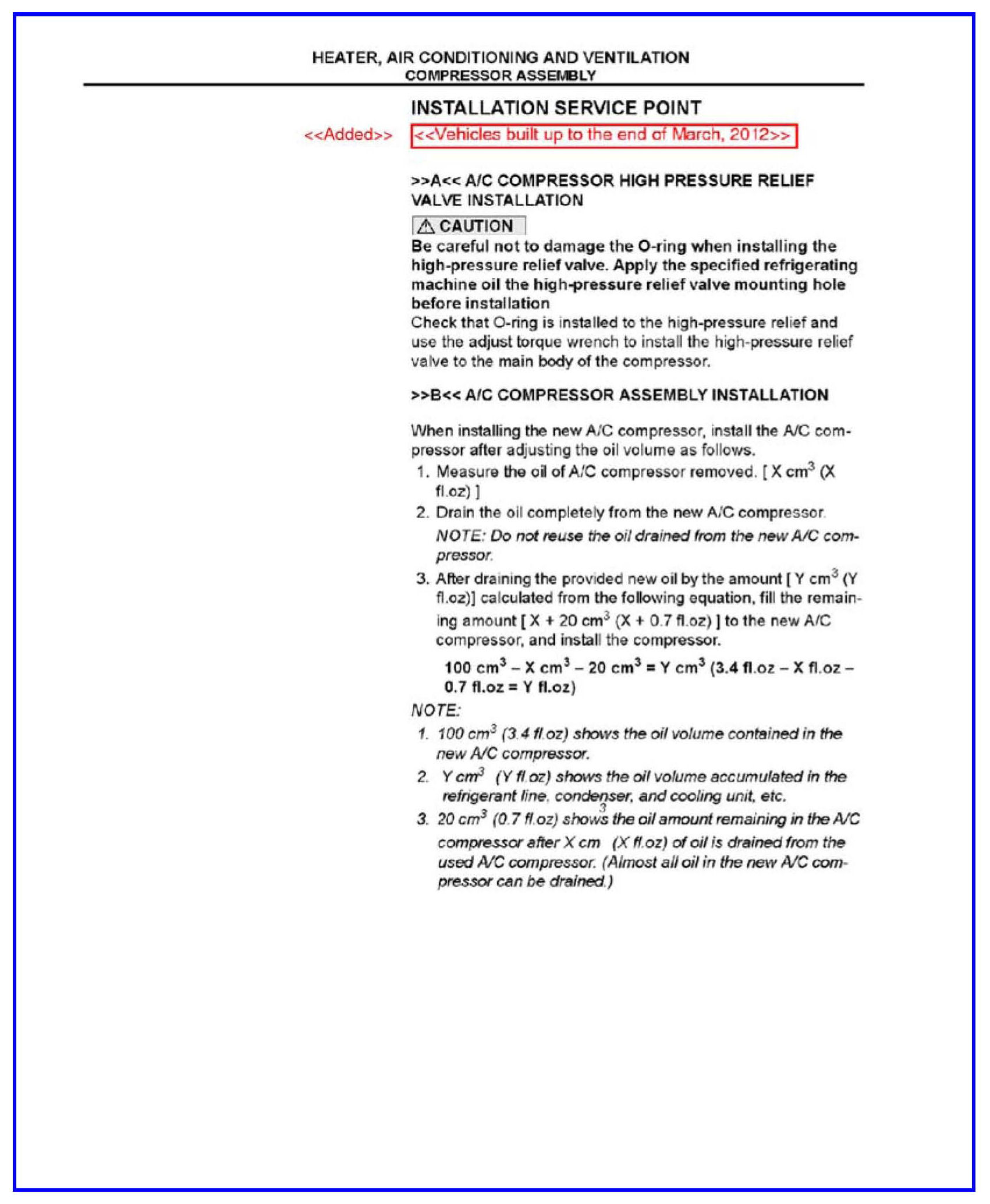
Due to a mid year production change, the removal and installation instructions and the installation service points for the a/c compressor are changed in the service manual. This TSB provides the revised information.

AFFECTED VEHICLES

2012 i-MiEV from the end of March, 2012

AFFECTED SERVICE MANUALS

2012 i-MiEV Service Manual Group 55 - Heater, Air Conditioner and Ventilation - A/C Compressor
Removal and Installation

Replace the existing information in the 2012 i-MiEV Service Manual with the following pages:














2012 i-MiEV Service Manual:
Group 55 - Heater, Air Conditioner and Ventilation - A/C Compressor Removal and Installation