Curiosii for ever!: Car repair manuals for everyone.

On-Board Diagnostics




DIAGNOSTIC FUNCTION

ON-BOARD DIAGNOSTICS

The engine control module (ECM) monitors the input/output signals (some signals all the time and others under specified conditions) of the ECM. When a malfunction continues for a specified time or longer after the irregular signal is initially monitored, the ECM judges that a malfunction has occurred. After the ECM first detects a malfunction, a diagnostic trouble code is recorded when the engine is restarted and the same malfunction is re-detected. However, for items marked with a "*1", a diagnostic trouble code is recorded on the first detection of the malfunction. There are 145 diagnostic items. The diagnostic results can be read out with a scan tool. Since memorization of the diagnostic trouble codes is backed up directly by the battery, the diagnostic results are memorized even if the ignition key is turned off. The diagnostic trouble codes will, however, be erased when the battery terminal or the ECM connector is disconnected.
In addition, the diagnostic trouble code can also be erased by turning the ignition switch to ON and sending the diagnostic trouble code erase signal from scan tool MB991958 to the ECM.
NOTE:
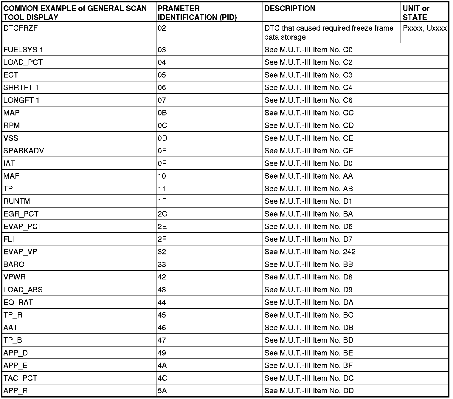
If the sensor connector is disconnected with the ignition switch turned on, the diagnostic trouble code is memorized. In this case, send the diagnostic trouble code erase signal to the ECM in order to erase the diagnostic memory. The 145 diagnostic items are all indicated sequentially from the smallest code number. The ECM records the engine operating condition when the diagnostic trouble code is set. This data is called "Freeze-frame" data. This data can be read by using the scan tool, and can then be used in simulation tests for troubleshooting. Data items are as follows:

NOTE:
If the ECM detects multiple malfunctions, the ECM stores the "Freeze-frame" data for only the first item that was detected. However, if the ECM detects a misfire or a fuel system malfunction, the ECM stores the data by giving priority to the misfire or fuel system malfunction, regardless of the order in which the malfunction was detected.

NOTE:
As for Diagnostic trouble code P1603, "Freeze-frame" data is not memorized.

Freeze Frame Data for M.U.T.-III





NOTE:
*: Accumulated time of current malfunction from time point when malfunction is detected.

Freeze Frame Data (OBD) for M.U.T.-III






NOTE:
*: Data items are displayed on scan tool display, but the in-line 4 engine is not applicable and its data is displayed as "N/A" or "****".

Freeze Frame Data for General Scan Tool