Curiosii for ever!: Car repair manuals for everyone.

Procedures




GENERAL INFORMATION

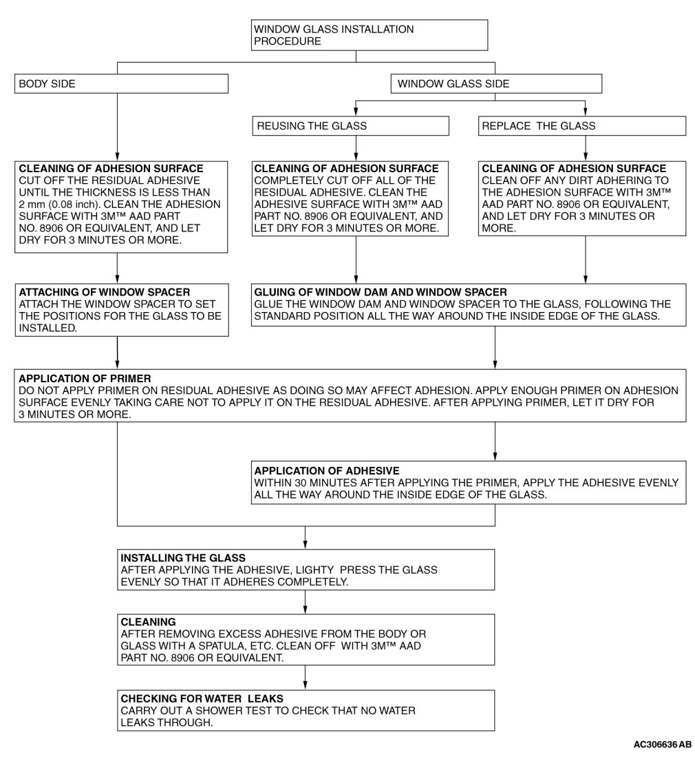
The windshield and rear window glass are attached by an urethane-base adhesive to the window frame. This adhesive provides improved glass holding and sealing, and also gives body openings a greater structural strength.

ITEMS





WINDOW GLASS INSTALLATION

CAUTION:
Do not apply the primer on the adhesive remained as the adhesion may be reduced.