CAN Bus Diagnostics Table
DIAGNOSISCAN BUS DIAGNOSTICS TABLE
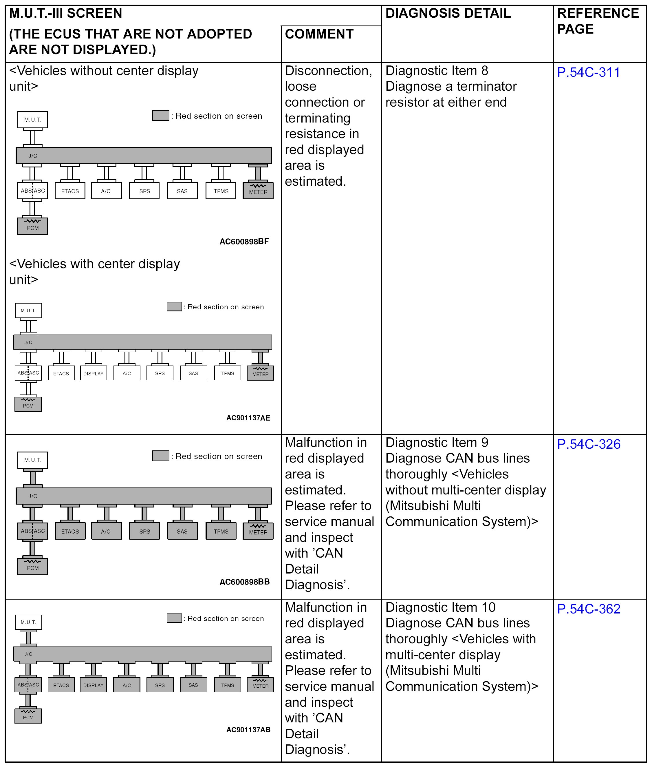
This diagnosis applies only to the CAN bus lines. If a different system is defective, proceed to the applicable diagnosis section for each system. Observe the diagnosis procedure below only when the CAN bus line is defective.
CAUTION: During diagnosis, a DTC code associated with another system may be set when the ignition switch is turned on with connector(s) disconnected. After completing the repair, confirm all systems for DTC code(s). If DTC code(s) are set, erase them all.
NOTE:
- If the screen other than above is displayed, troubles are present at two or more spots. In this case, diagnose CAN bus lines by referring to the trouble spot pinpoint procedures.
- If a trouble cannot be solved after performing the diagnosis other than item 15, diagnose CAN bus line thoroughly.