Curiosii for ever!: Car repair manuals for everyone.

General Scan Tool (GST) Mode 01 Reference Table

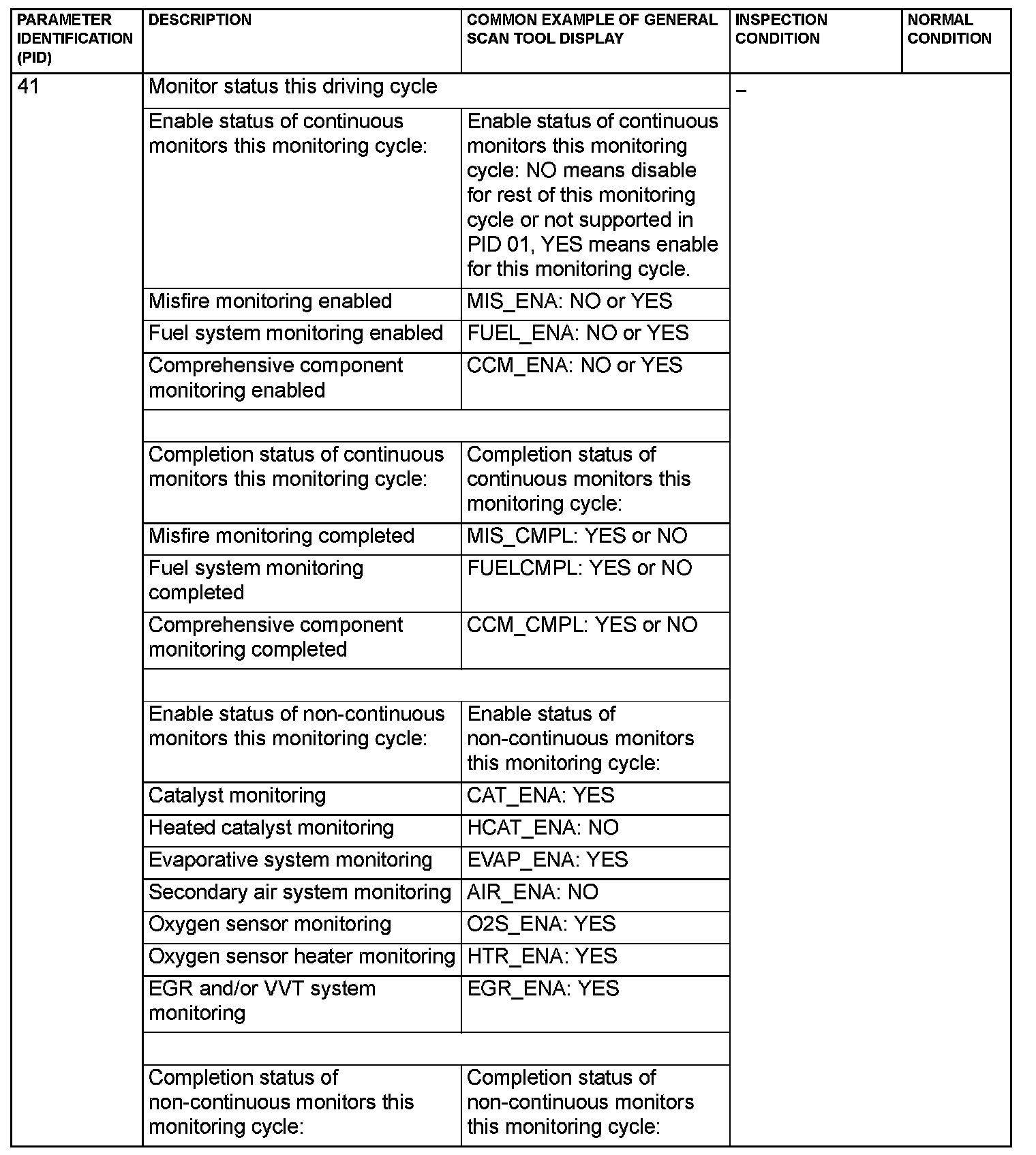
GENERAL SCAN TOOL (GST) MODE 01 REFERENCE TABLE

The purpose of this service of to allow access to current emission-related data values, including analogue inputs and outputs, digital inputs and outputs, and system status information.

The request for information includes a parameter identification (PID) value that indicates to the on-board system the specific information requested.

The ECM [M/T] or the PCM [A/T] will respond to this message by transmitting the requested data value last determined by the system. All data values returned for sensor readings will be actual readings, not default or substitute values used by the system because of a fault with that sensor.

NOTE: GST MODE 01 can be accessed through the use of a general scan tool.


General Scan Tool (GST) Mode 01 Reference Table (Part 1):




General Scan Tool (GST) Mode 01 Reference Table (Part 2):




General Scan Tool (GST) Mode 01 Reference Table (Part 3):




General Scan Tool (GST) Mode 01 Reference Table (Part 4):




General Scan Tool (GST) Mode 01 Reference Table (Part 5):