Curiosii for ever!
: Car repair manuals for everyone.
Home
>>
Mitsubishi
>>
2010
>>
Eclipse L4-2.4L (4G69)
>>
Repair and Diagnosis
>>
Windows and Glass
>>
Service and Repair
Windows and Glass: Service and Repair
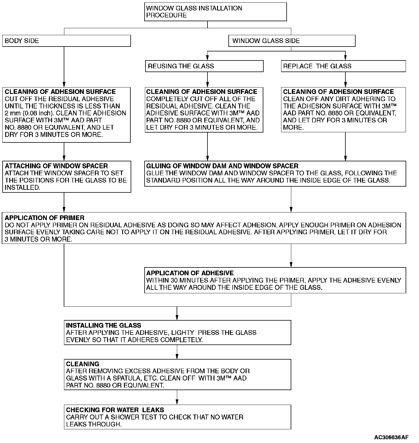
WINDOW GLASS
INSTALLATION
CAUTION: Do not apply primer on the adhesion surface, as adhesion may be reduced.