Curiosii for ever!
: Car repair manuals for everyone.
Home
>>
Mitsubishi
>>
2008
>>
Lancer Evolution L4-2.0L Turbo (4B11T/C)
>>
Repair and Diagnosis
>>
Windows and Glass
>>
Service and Repair
Windows and Glass: Service and Repair
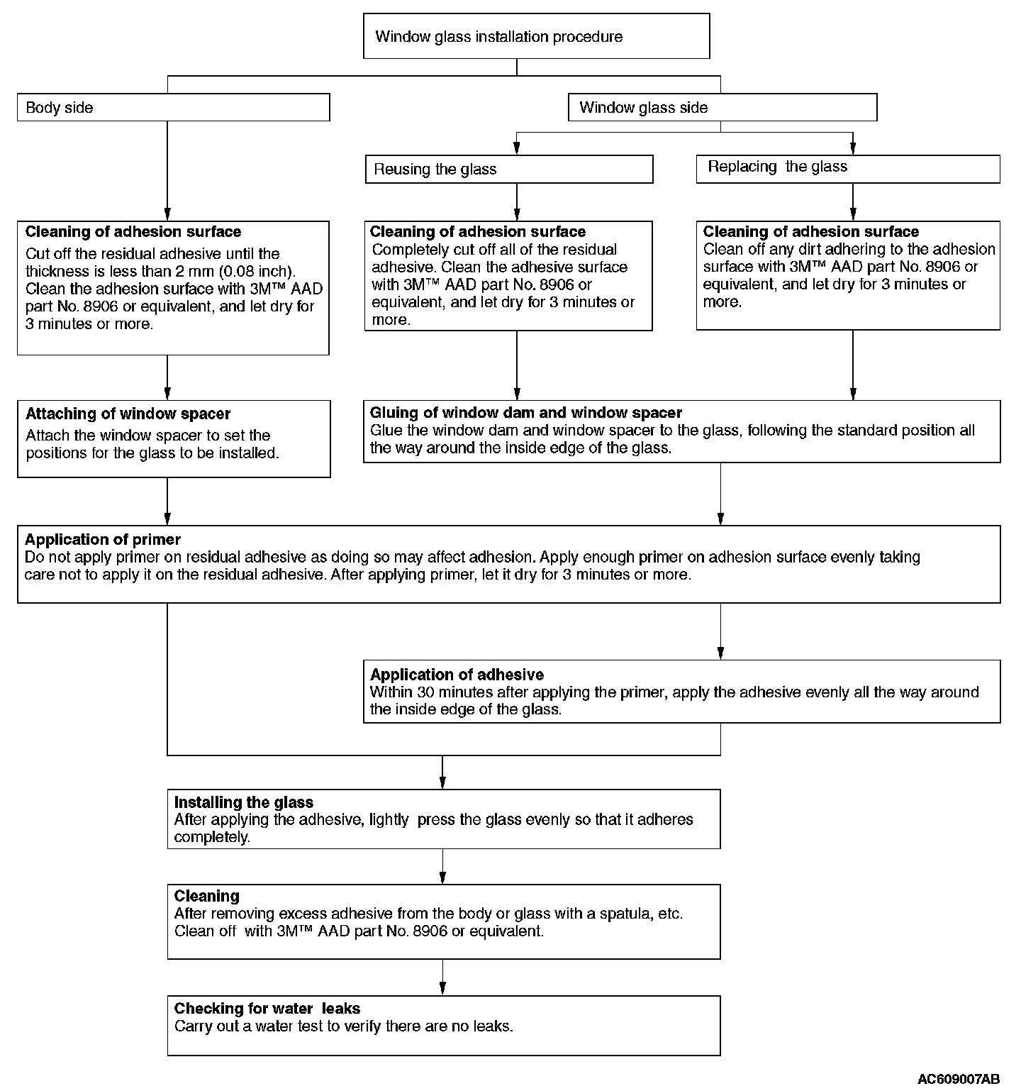
WINDOW GLASS
INSTALLATION
CAUTION: Do not apply primer on the adhesion surface, as adhesion may be reduced.