Engine Control Module: Testing and Inspection
CHECK AT THE ENGINE CONTROL MODULE (ECM)1. Disconnect the ECM connectors B-09 and B-10, and connect check harness special tool MB992110 between the ECM connectors.
2. Measure the voltage between each check harness connector terminal and check harness connector ground terminal (No. 81 or No. 93).
TERMINAL VOLTAGE CHECK CHART
Terminal Voltage Check Chart (Part 1):
Terminal Voltage Check Chart (Part 2):
Terminal Voltage Check Chart (Part 3):
Terminal Voltage Check Chart (Part 4):
Terminal Voltage Check Chart (Part 5):
Terminal Voltage Check Chart (Part 6):
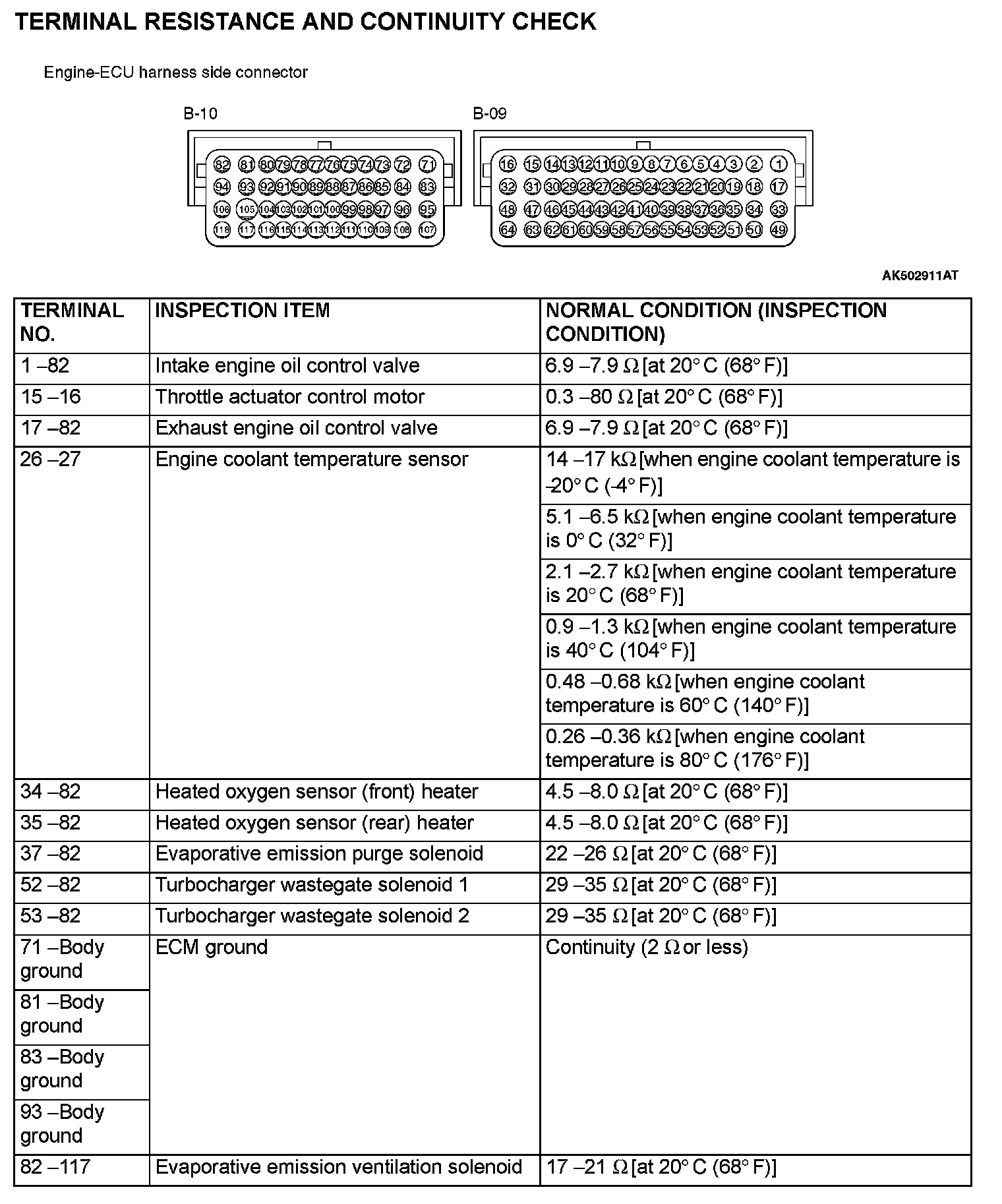
TERMINAL RESISTANCE AND CONTINUITY CHECK