Curiosii for ever!
: Car repair manuals for everyone.
Home
>>
Mitsubishi
>>
2006
>>
Eclipse V6-3.8L (6G75)
>>
Repair and Diagnosis
>>
Windows and Glass
>>
Service and Repair
Windows and Glass: Service and Repair
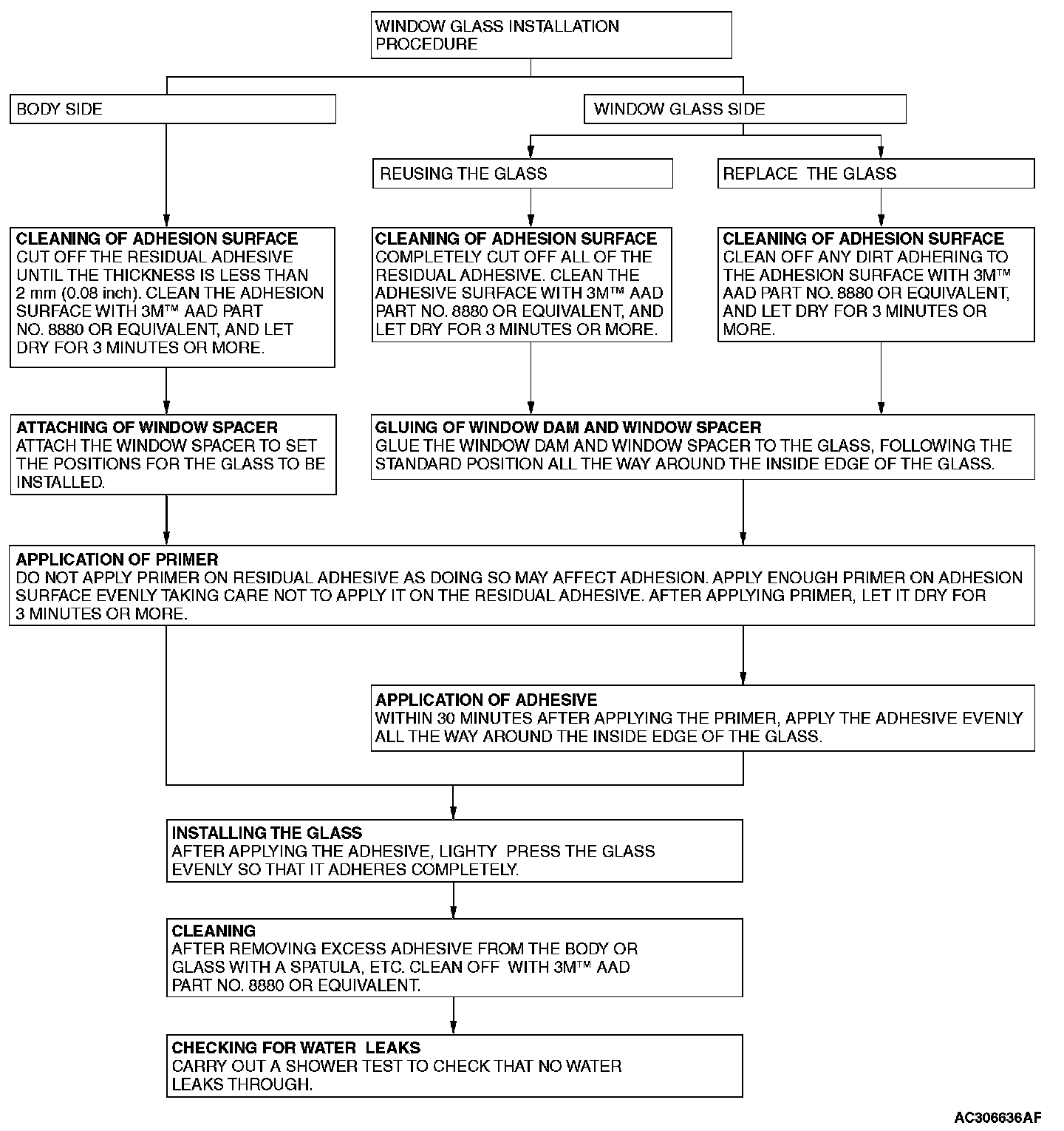
WINDOW GLASS
INSTALLATION
CAUTION: Do not apply primer on the adhesion surface, as adhesion may be reduced.