Curiosii for ever!
: Car repair manuals for everyone.
Home
>>
Mitsubishi
>>
2003
>>
Eclipse L4-2.4L SOHC
>>
Repair and Diagnosis
>>
Technical Service Bulletins
>>
All Technical Service Bulletins
>>
Audio System - Diagnosis/Troubleshooting
>>
Function Operation
Function Operation
AUDIO SYSTEM TROUBLESHOOTING
RADIO SEEK FUNCTION INOPERATIVE
AUDIO SYSTEM INOPERATIVE / MEMORY INOPERATIVE
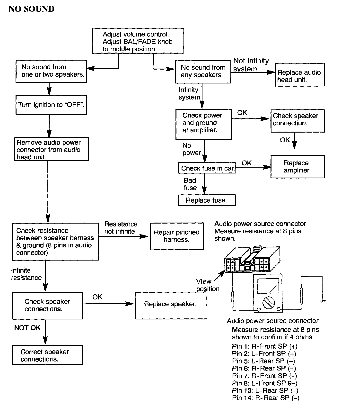
NO SOUND