Curiosii for ever!: Car repair manuals for everyone.

A/T Technical Data

F4A23/F4A33 4-spd A/T, Gear Ratios ('96):





F4A23/F4A33 4-spd A/T, Function Element Table:





F4A23/F4A33 4-spd A/T, Standard Values:





F4A23 4-spd A/T, Standard Values:





F4A23 4-spd A/T, Valve Body Spring Chart:





F4A23 4-spd A/T, Pressure Plates (Low-Reverse) & Clutch Clearance:





F4A23 4-spd A/T, Clutch Clearance, Output & Transfer Shaft End Play:





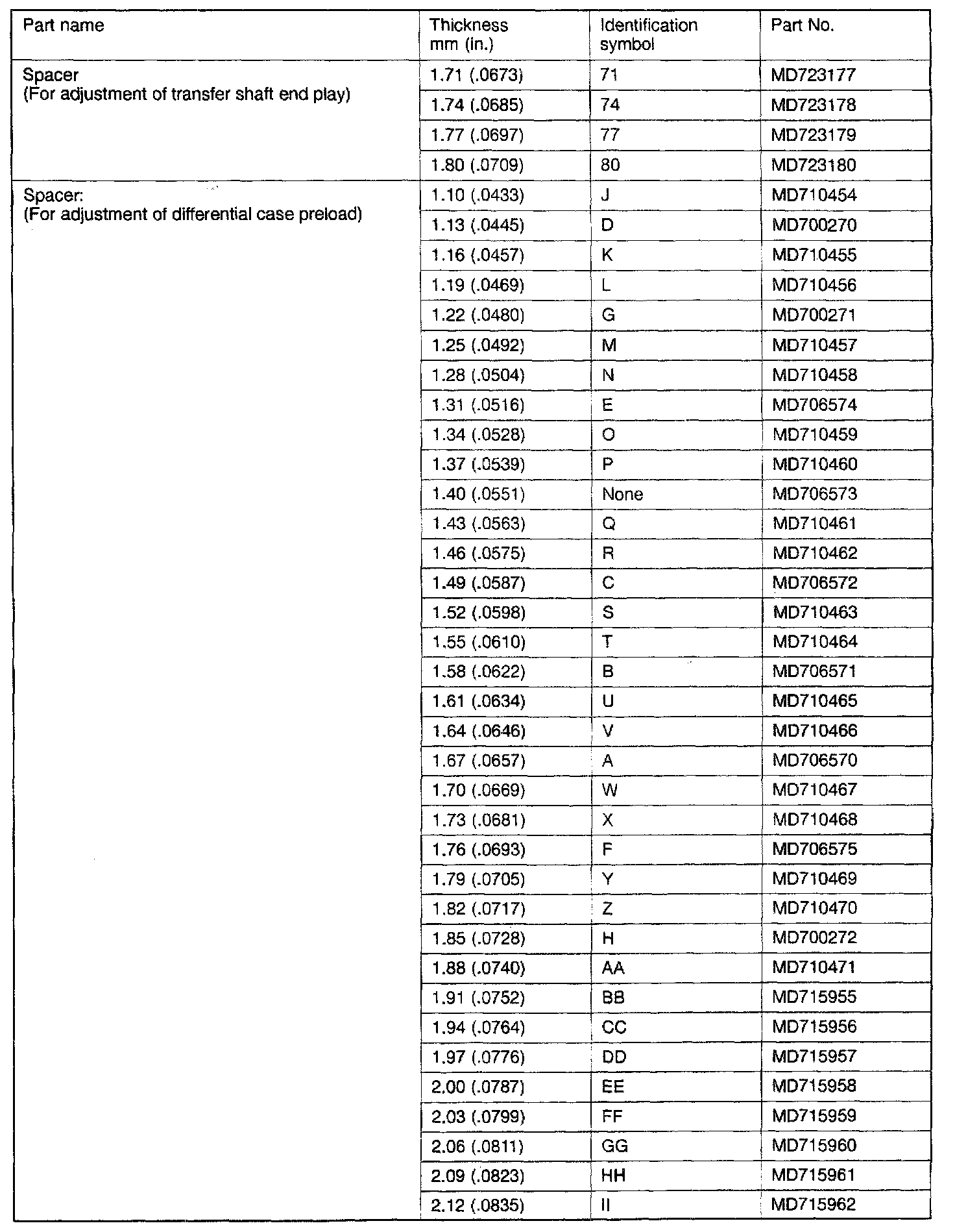
F4A23 4-spd A/T, Transfer Shaft & Differential:





F4A23 4-spd A/T, Differential Case Preload & Pinion Backlash: