Curiosii for ever!: Car repair manuals for everyone.

Initial Inspection and Diagnostic Overview





The judgement conditions for fail-safe items are the same as the judgement conditions for the related diagnosis codes. If these related diagnosis codes are output 4 times in succession, a fail-safe item is recorded.
Accordingly, if a fail-safe item is output, the diagnostic trouble codes will also be output at the same time.
In addition, fail-safe codes lock the transaxle in 3rd or 2nd gear. Fail-safe will be cancelled if the ignition switch is turned to OFF. The diagnostic trouble codes will remain.








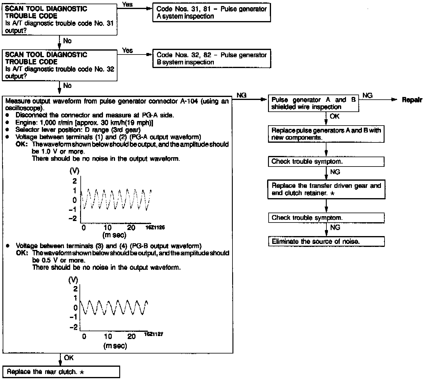
FAIL-SAFE TEST, CODE 81








FAIL-SAFE TEST, CODE 82








FAIL-SAFE TEST, CODE 83








FAIL-SAFE TEST, CODE 84








FAIL-SAFE TEST, CODE 85








FAIL-SAFE TEST, CODE 86