Curiosii for ever!
: Car repair manuals for everyone.
Home
>>
Mitsubishi
>>
1994
>>
Precis L4-1468cc 1.5L SOHC
>>
Repair and Diagnosis
>>
Powertrain Management
>>
Computers and Control Systems
>>
Testing and Inspection
>>
Symptom Related Diagnostic Procedures
>>
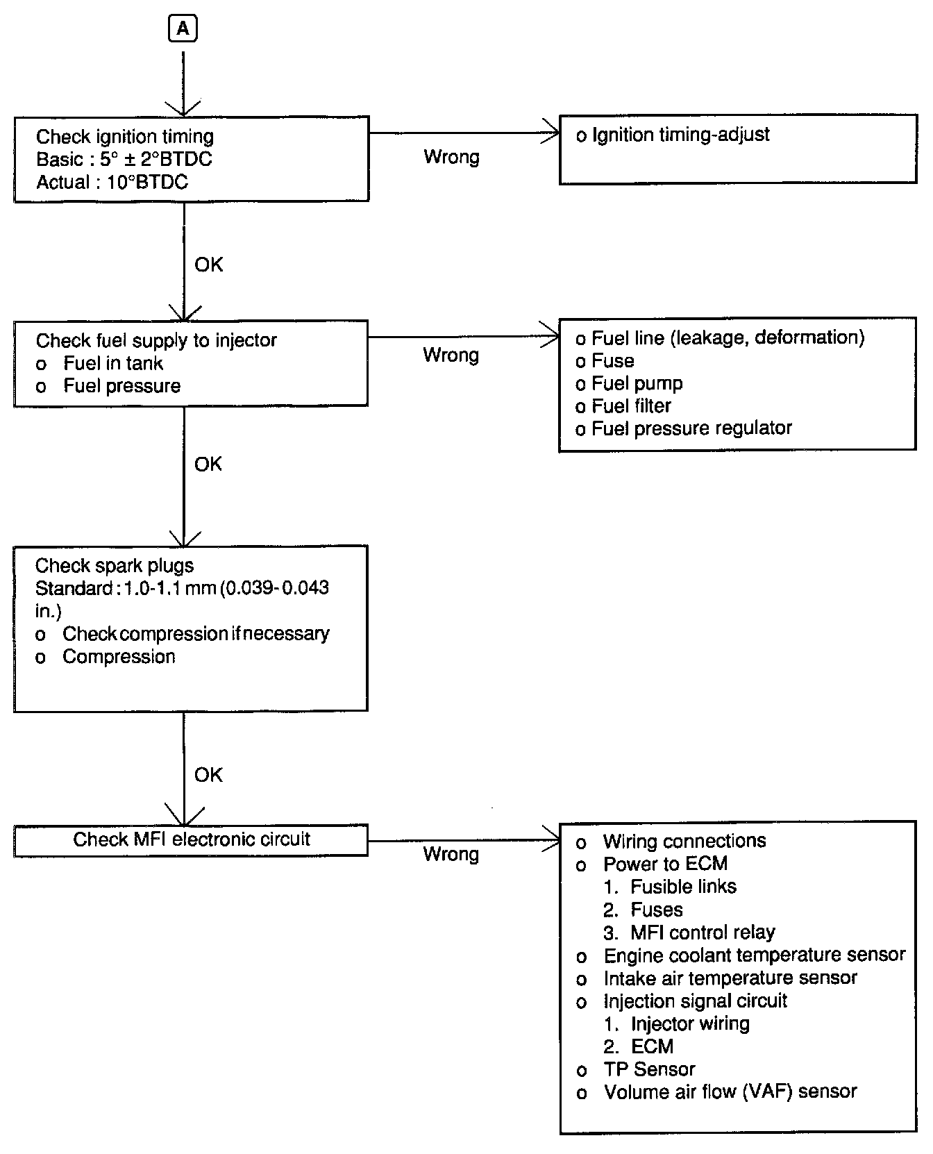
Hard Start
Hard Start
HARD TO START (CRANKS OK)
Part 1 Of 2:
Part 2 Of 2: