Curiosii for ever!
: Car repair manuals for everyone.
Home
>>
Mercury
>>
2010
>>
Milan FWD L4-2.5L Hybrid
>>
Repair and Diagnosis
>>
Powertrain Management
>>
Computers and Control Systems
>>
Testing and Inspection
>>
Pinpoint Tests
>>
Test TL: Generator Over Temperature Fault
Test TL: Generator Over Temperature Fault
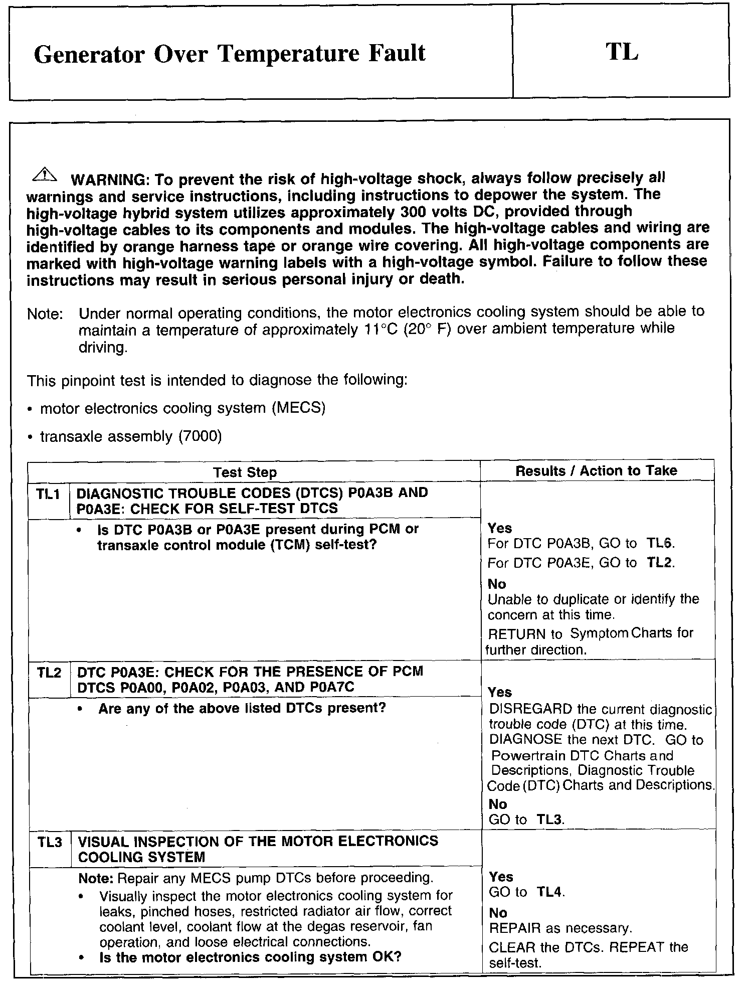
PINPOINT TEST TL: GENERATOR OVER TEMPERATURE FAULT
TL1-TL3:
TL4-TL7:
TL8-TL9: