Curiosii for ever!
: Car repair manuals for everyone.
Home
>>
Mercury
>>
2010
>>
Milan FWD L4-2.5L Hybrid
>>
Repair and Diagnosis
>>
Powertrain Management
>>
Computers and Control Systems
>>
Testing and Inspection
>>
Pinpoint Tests
>>
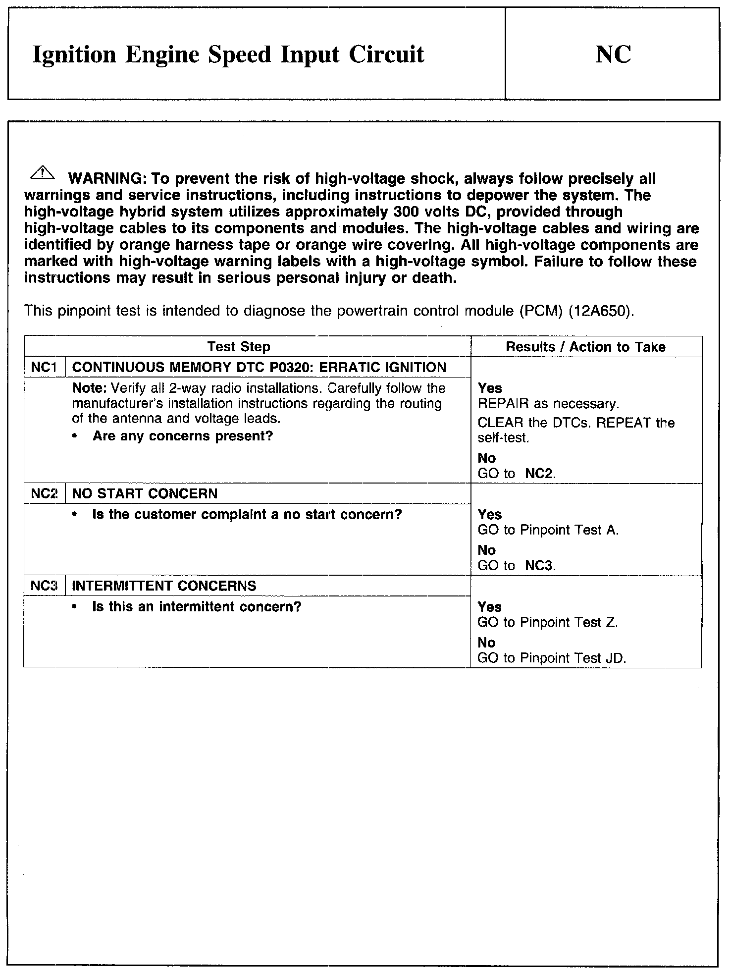
Test NC: Ignition Engine Speed Input Circuit
Test NC: Ignition Engine Speed Input Circuit
PINPOINT TEST NC: IGNITION ENGINE SPEED INPUT CIRCUIT
NC1-NC3: