Curiosii for ever!
: Car repair manuals for everyone.
Home
>>
Mercury
>>
2010
>>
Milan FWD L4-2.5L Hybrid
>>
Repair and Diagnosis
>>
Powertrain Management
>>
Computers and Control Systems
>>
Testing and Inspection
>>
Pinpoint Tests
>>
Test HF: Catalyst Efficiency Monitor and Exhaust Systems
Test HF: Catalyst Efficiency Monitor and Exhaust Systems
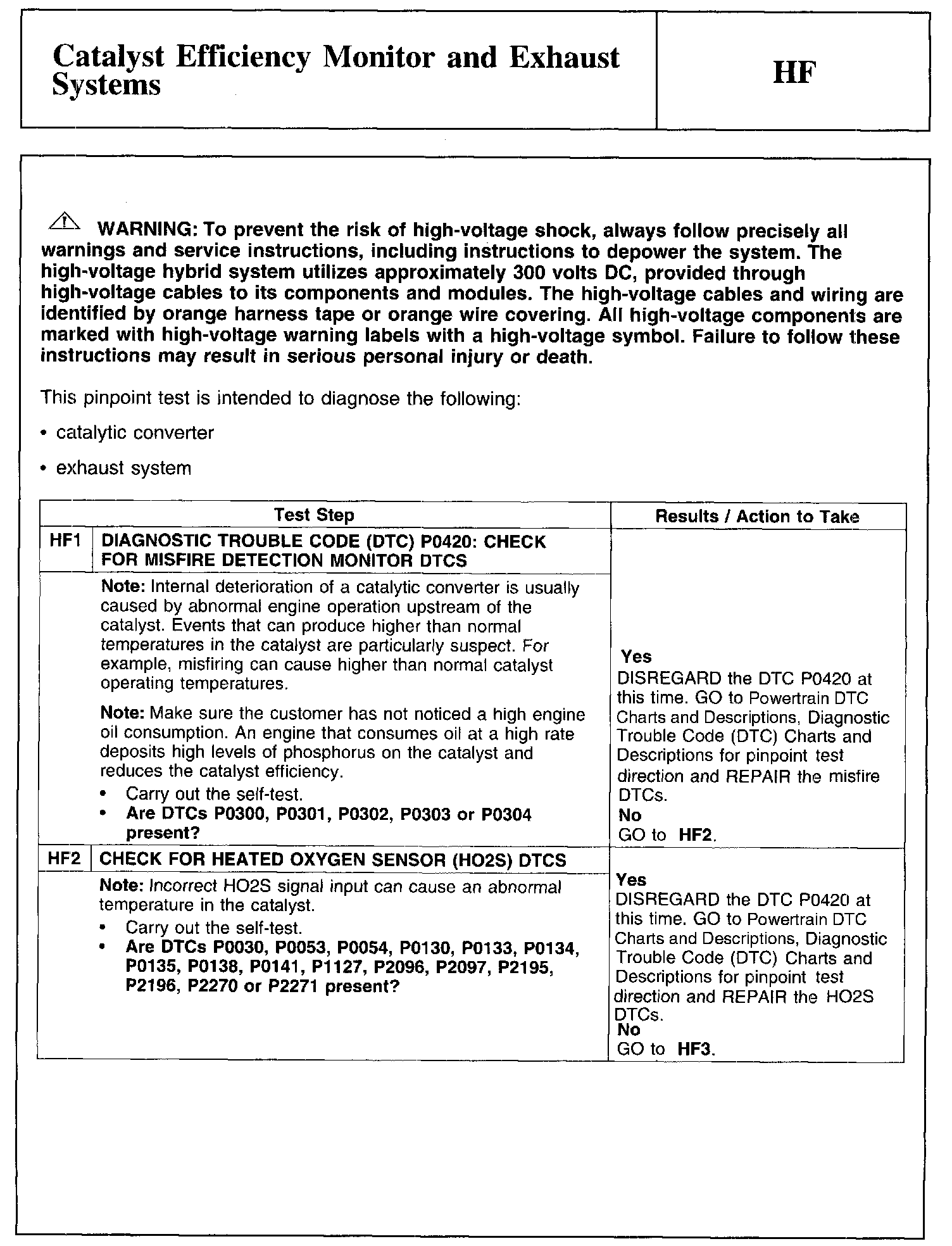
PINPOINT TEST HF: CATALYST EFFICIENCY MONITOR AND EXHAUST SYSTEMS
HF1-HF2:
HF3-HF6:
HF7-HF10: