Curiosii for ever!: Car repair manuals for everyone.

Tests HC: Fuel Delivery System



PINPOINT TEST HC: FUEL DELIVERY SYSTEM

WARNING: Crown Victoria Police Interceptor vehicles equipped with fire suppression system, refer to Section 419-03 for Important Safety Warnings. Failure to follow these instructions may result in personal injury.

WARNING: The fuel system remains under pressure after the engine is off. Relieve pressure before repairing. Highly flammable mixtures are present. To release pressure from the fuel system, carry out the following:

- Connect a Rotunda fuel pressure gauge I 34R0087 or equivalent.
- Gradually open the testing kit valve to relieve the fuel pressure in the vehicle fuel system and drain the fuel into a suitable container or return it to the fuel tank.
- To avoid unnecessary fuel spillage and fire hazard, any time fuel lines are disconnected, the ignition switch must be in the OFF position unless fuel pump operation is required for test purposes.

Failure to follow these instructions may result in personal injury

WARNING: Before working on or disconnecting any of the fuel tubes or fuel system components, relieve the fuel system pressure to prevent accidental spraying of fuel. Fuel in the fuel system remains under high pressure, even when the engine is not running. Failure to follow this instruction may result in serious personal injury.

WARNING: Do not smoke, carry lighted tobacco or have an open flame of any type when working on or near any fuel-related component. Highly flammable mixtures are always present and may be ignited. Failure to follow these instructions may result in serious personal injury.

WARNING: Do not carry personal electronic devices such as cell phones, pagers or audio equipment of any type when working on or near any fuel-related component. Highly flammable mixtures are always present and may be ignited. Failure to follow these instructions may result in serious personal injury.

WARNING: When handling fuel, always observe fuel handling precautions and be prepared in the event of fuel spillage. Spilled fuel may be ignited by hot vehicle components or other ignition sources. Failure to follow these instructions may result in serious personal injury.

WARNING: Clean all fuel residue from the engine compartment. If not removed, fuel residue may ignite when the engine is returned to operation. Failure to follow this instruction may result in serious personal injury.

Note: Replacement fuel injectors may not be the same color as the original injectors in the vehicle. Verify the replacement injector is correct for the application by part number.

This pinpoint test is intended to diagnose the following:

^ chassis components
^ engine vacuum
^ fuel pressure
^ fuel supply line
^ fuel supply
^ fuel filter (9155)
^ fuel injector(s) (9F593)
^ fuel pump (9H307)

Note: With the engine running the FRP PID value may be 48-70 kPa (7-10 psi) higher than a fuel pressure reading taken with a mechanical gauge.

Reference:






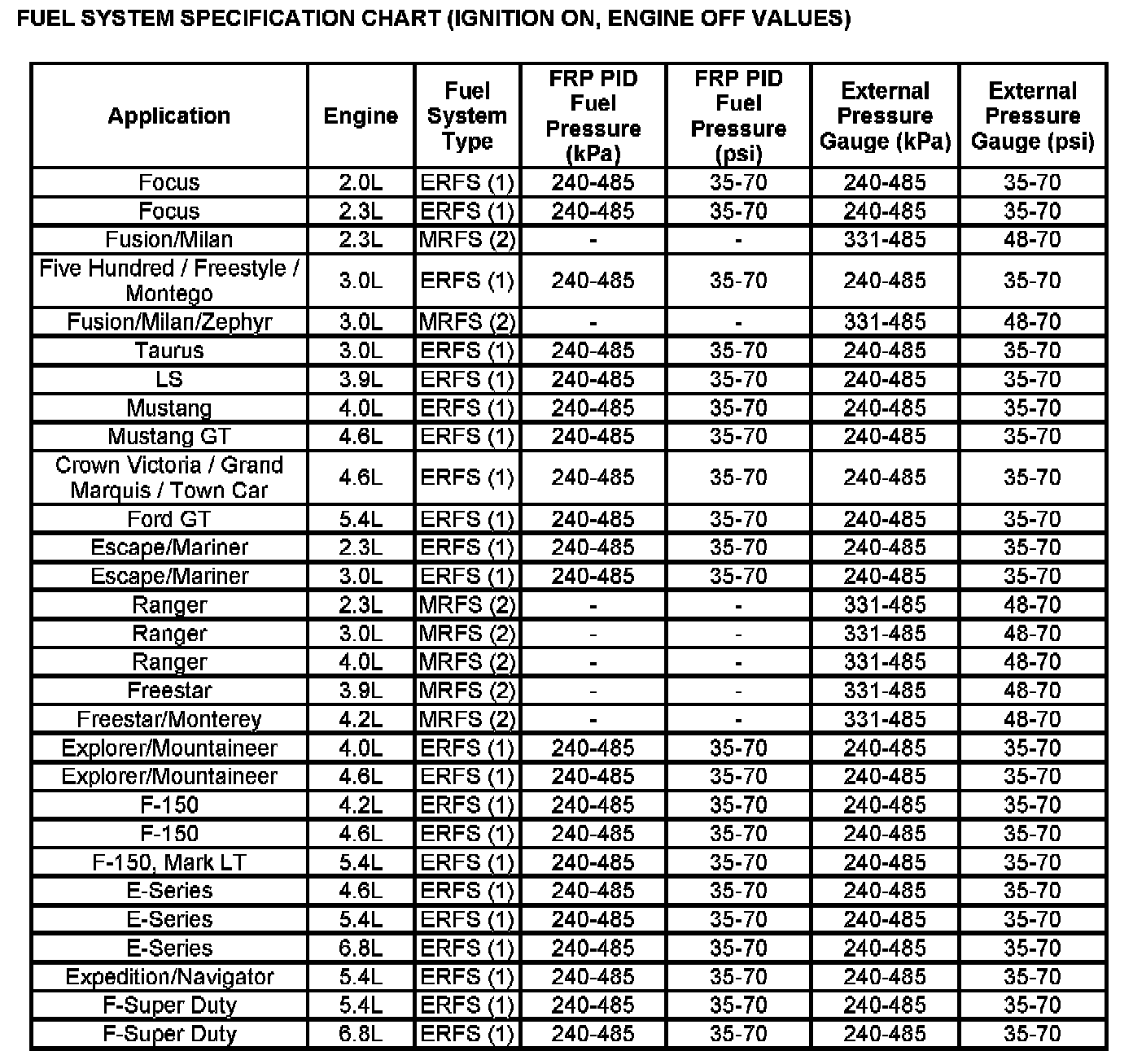
Fuel System Type Definitions:

(1) Electronic Retumless Fuel System (ERFS): This type of fuel delivery system does not return fuel to the fuel tank by means of a return line. This system does not incorporate a mechanical pressure regulator. Pressure is controlled by continuously varying the fuel pump speed through the fuel pump driver module (FPDM). All vehicles equipped with ERFS use a fuel rail pressure (FRP) sensor.

(2) Mechanical Retumless Fuel System (MRFS): This type of fuel delivery system does not return fuel to the fuel tank by means of a return line. Fuel pressure is controlled by a mechanical pressure regulator located on the fuel pump module in the fuel tank. Vehicles equipped with MRFS do not use a fuel rail pressure (FRP) sensor.

Inertia Fuel Shutoff (IFS) Switch - Reset Instructions

WARNING: If you see or smell gasoline at any time other than during fueling, do not reset the inertia fuel shutoff (IFS) switch. Failure to follow these instructions may result in personal injury

^ Key in OFF position.
^ Check for fuel leaks in the engine compartment.
^ If no leak is present, reset the IFS switch by pushing the reset button on the top of the switch.
^ In the closed position, the button can be pressed an additional 1.57 mm (1/16 in) against a spring.
^ Key ON, engine OFF.
^ Key in OFF position.
^ Key ON, engine OFF.
^ Key in OFF position.
^ Check for leaking fuel.

HC1 - HC2:





HC3 - HC4:





HC5:





HC6:





HC7:





HC8 - HC9:





HC10:





HC11 - HC12:





HC13:





HC14:





HC15 - HC16:





HC17 - HC18: